Uradni list

Številka 89
Uradni list RS, št. 89/2005 z dne 7. 10. 2005

Prikazana vsebina je v skladu s 33. členom ZoUL arhivska. Izdaje uradnega lista, izdane po 28.2.2026, so dostopne na PISRS.

Uradni list

Uradni list RS, št. 89/2005 z dne 7. 10. 2005

Kazalo

3837. Sklep o podrobnejših navodilih za izračun oziroma pobot sredstev matematičnih rezervacij oziroma rezervacij za starost, stran 9220.

Strokovni svet Agencije za zavarovalni nadzor na podlagi 2. točke 256. člena Zakona o zavarovalništvu (Uradni list RS, št. 102/04 – uradno prečiščeno besedilo in 76/05 – ZZVZZ-H) in 21. člena Zakona o spremembah in dopolnitvah zakona o zdravstvenem varstvu in zdravstvenem zavarovanju (Uradni list RS, št. 76/05) izdaja
S K L E P
o podrobnejših navodilih za izračun oziroma pobot sredstev matematičnih rezervacij oziroma rezervacij za starost
Predmet sklepa
1. člen
Ta sklep določa podrobnejša navodila za izračun in vračilo oziroma pobot sredstev matematičnih rezervacij oziroma rezervacij za starost, ki so jih zavarovalnice oblikovale za zavarovance dopolnilnega zdravstvenega zavarovanja po predpisih, ki so veljali pred uveljavitvijo Zakona o spremembah in dopolnitvah zakona o zdravstvenem varstvu in zdravstvenem zavarovanju (Uradni list RS, št. 76/05, v nadaljevanju ZZVZZ-H).
Predpostavke za izračun matematičnih rezervacij oziroma rezervacij za starost
2. člen
(1) Zavarovalnice, ki so sklepale dopolnilno zdravstveno zavarovanje po predpisih, ki so veljali pred uveljavitvijo ZZVZZ-H, morajo matematične rezervacije oziroma rezervacije za starost izračunati posebej za vsakega zavarovanca, za katerega so v skladu s pogodbo o dopolnilnem zdravstvenem zavarovanju dolžne oblikovati te rezervacije.
(2) Matematične rezervacije oziroma rezervacije za starost se izračuna na osnovi prospektivne računske metode za vsakega posameznega zavarovanca posebej.
(3) Zavarovalnica v izračunu matematičnih rezervacij oziroma rezervacij za starost oziroma v izračunu sedanjih vrednosti pričakovanih bodočih obveznosti in sedanjih vrednosti pričakovanih bodočih vplačil upošteva čas trajanja, ki je določen na polici in obdobje, ki je preteklo od sklenitve zavarovanja. Čas trajanja, ki je določen na polici, je obdobje od sklenitve zavarovanja do dogovorjenega poteka pogodbe na polici. Ne glede na prejšnji stavek je v primeru, da je zavarovalnica preoblikovala pogodbo, za katero ni bilo potrebno oblikovati matematičnih rezervacij oziroma rezervacij za starost, v pogodbo, po kateri je oblikovala te rezervacije, se za čas trajanja pogodbe šteje čas od preoblikovanja do poteka pogodbe. Obdobje, ki je preteklo od sklenitve zavarovanja, je obdobje od datuma sklenitve zavarovanja do datuma, na katerega se računa višina matematičnih rezervacij oziroma rezervacij za starost. Ne glede na prejšnji stavek je v primeru, da je zavarovalnica preoblikovala pogodbo, za katero ni bilo potrebno oblikovati matematičnih rezervacij oziroma rezervacij za starost, v pogodbo, po kateri je oblikovala te rezervacije, se za obdobje, ki je preteklo od sklenitve zavarovanja, upošteva obdobje od datuma preoblikovanja zavarovanja do datuma, na katerega se računa višina matematičnih rezervacij oziroma rezervacij za starost.
(4) V izračunu matematičnih rezervacij oziroma rezervacij za starost se upoštevajo enake tablice smrtnosti in bolezenske tablice, kot so bile upoštevane v premijskem izračunu.
(5) Obrestna mera, ki jo zavarovalnice upoštevajo v izračunu matematičnih rezervacij oziroma rezervacij za starost, je enaka obrestni meri, ki jo je zavarovalnica upoštevala v premijskem izračunu.
(6) Zavarovalnica v izračunu matematičnih rezervacij oziroma rezervacij za starost upošteva enake stroške, kot jih je upoštevala v izračunu premije.
Vrednotenje bodočih premij
3. člen
(1) V izračunu sedanje ocenjene vrednosti bodočih premij, ki se upoštevajo v izračunu matematičnih rezervacij oziroma rezervacij za starost, se upošteva premija v višini, kot jo je določala pogodba o dopolnilnem zdravstvenem zavarovanju.
(2) Ne glede na prejšnji odstavek tega člena mora zavarovalnica, ki je pri določanju premije upoštevala medgeneracijsko vzajemnost, uporabiti v izračunu sedanje ocenjene vrednosti bodočih premij premijo v višini, ki bi bila potrebna glede na spol in starost zavarovanca ob sklenitvi dopolnilnega zdravstvenega zavarovanja, za katerega je zavarovalnica oblikovala matematične rezervacije oziroma rezervacije za starost. Pri določanju višine premije iz prejšnjega stavka je potrebno upoštevati enako obrestno mero, enake tablice smrtnosti in bolezenske tablice, ter enake stroške, kot bi jih zavarovalnica upoštevala v premijskem izračunu, če ne bi upoštevala medgeneracijske vzajemnosti.
Negativne matematične rezervacije oziroma rezervacije za starost
4. člen
V skupni višini matematičnih rezervacij oziroma rezervacij za starost, ki je vsota matematičnih rezervacij oziroma vsota rezervacij za starost po posameznih zavarovancih, se ne upošteva negativnih matematičnih rezervacij oziroma negativnih rezervacij za starost, izračunanih za posameznega zavarovanca.
Bilančna matematična rezervacija oziroma rezervacija za starost
5. člen
(1) Zavarovalnica določi višino matematičnih rezervacij oziroma rezervacij za starost za vsakega zavarovanca posebej na dan prenehanja dopolnilnega zdravstvenega zavarovanja. Dan prenehanja je:
1. za zavarovance, ki imajo na dan 28. 2. 2006 veljavno zavarovanje, 28. 2. 2006,
2. za zavarovance, ki so med 1. 9. 2005 in 28. 2. 2006 na svojo zahtevo razdrli ali spremenili zavarovalno pogodbo, dan prenehanja zavarovanja,
3. za zavarovance, ki so preoblikovali ali prekinili doživljenjsko pogodbo v dvanajstletne pogodbe na podlagi tržnih ponudb zavarovalnic pred 1. 9. 2005, dan preoblikovanja ali prekinitve doživljenjske pogodbe.
(2) Zavarovalnica mora z linearno interpolacijo izračunati stanje matematičnih rezervacij oziroma rezervacij za starost za posameznega zavarovanca, če od datuma začetka zavarovanja do datuma prenehanja zavarovanja ni preteklo celo število let.
Skupna višina matematičnih rezervacij oziroma rezervacij za starost
6. člen
Skupna višina matematičnih rezervacij oziroma rezervacij za starost na dan 28. 2. 2006, do katerih so upravičeni zavarovanci, se izračuna kot vsota matematičnih rezervacij oziroma rezervacij za starost za:
1. zavarovance, ki jim zavarovanje preneha 28. 2. 2006, po stanju na dan 28. 2. 2006,
2. zavarovance, ki so razdrli ali spremenili pogodbo po 1. 9. 2005, po stanju na dan razdrtja ali spremembe pogodbe,
3. zavarovance, ki so preoblikovali doživljenjske pogodbe v dvanajstletne pogodbe ali prekinili doživljenjske pogodbe na podlagi tržnih ponudb zavarovalnic pred 1. 9. 2005, po stanju na dan preoblikovanja ali prekinitve pogodbe.
Sorazmerni delež
7. člen
(1) Zavarovalnice, ki so po ceniku imele enako premijo za dopolnilno zdravstveno zavarovanje ne glede na trajanje zavarovanja, spol in starost zavarovanca in so oblikovale matematične rezervacije oziroma rezervacije za starost, določijo sorazmerni delež rezervacij, do katerih so upravičeni zavarovanci na način, določen s tem členom.
(2) Do sorazmernega deleža matematičnih rezervacij oziroma rezervacij za starost so upravičeni zavarovanci, za katere je zavarovalnica oblikovala te rezervacije in so imeli na dan 1. 9. 2005 sklenjeno veljavno pogodbo za dopolnilno zdravstveno zavarovanje.
(3) Za vsakega posameznega zavarovanca iz prejšnjega odstavka tega člena zavarovalnica ugotovi, koliko mesecev je imel sklenjeno dopolnilno zdravstveno zavarovanje. V kolikor je imel zavarovanec iz drugega odstavka tega člena pred veljavno pogodbo že sklenjene pogodbe o dopolnilnem zdravstvenem zavarovanju, za katere je morala zavarovalnica oblikovati matematične rezervacije oziroma rezervacije za starost, in so te pogodbe že potekle, se v čas zavarovanja štejejo tudi obdobja vseh poteklih pogodb.
(4) Sorazmerni delež za posameznega zavarovanca se izračuna tako, da se število mesecev, izračunanih na podlagi prejšnjega odstavka za tega zavarovanca deli z vsoto števila mesecev, izračunanih na podlagi prejšnjega odstavka za vse zavarovance iz drugega odstavka tega člena.
8. člen
(1) Zavarovalnice, ki so imele različno premijo dopolnilnega zdravstvenega zavarovanja, za katere so oblikovale matematične rezervacije oziroma rezervacije za starost, in so bile premije določene z upoštevanjem medgeneracijske vzajemnosti, določijo delež rezervacij, do katerih so upravičeni zavarovanci na način, določen s tem členom.
(2) Do deleža matematičnih rezervacij oziroma rezervacij za starost so upravičeni zavarovanci, ki so imeli na dan 31. 8. 2005 veljavno polico dopolnilnega zdravstvenega zavarovanja in so imeli sklenjeno pogodbo za dopolnilno zdravstveno zavarovanje, na osnovi katere je zavarovalnica oblikovala matematične rezervacije oziroma rezervacije za starost. Ne glede na določbo prvega stavka tega odstavka, so do matematičnih rezervacij oziroma rezervacij za starost upravičeni tudi zavarovanci iz 3. točke 6. člena tega sklepa.
(3) Za vsakega posameznega zavarovanca iz prejšnjega odstavka tega člena zavarovalnica ugotovi uteženo število zavarovanih mesecev. Uteženo število zavarovanih mesecev za posameznega zavarovanca je enako vsoti obračunanih premij v obdobju trajanja dopolnilnega zdravstvenega zavarovanja za katero so bile oblikovane matematične rezervacije oziroma rezervacije za starost.
(4) Delež, do katerega je upravičen posamezen zavarovanec iz drugega odstavka tega člena, se izračuna kot količnik števila uteženih zavarovanih mesecev tega zavarovanca, izračunanih na podlagi prejšnjega odstavka, in vsote števil uteženih zavarovanih mesecev po vseh zavarovancih iz drugega odstavka tega člena, izračunanih na podlagi prejšnjega odstavka.
9. člen
(1) Ne glede na določbi 7. in 8. člena tega sklepa, obravnavajo zavarovalnice zavarovance dopolnilnega zdravstvenega zavarovanja, za katere premija ni bila določena z upoštevanjem medgeneracijske vzajemnosti, ločeno od zavarovancev, katerih premija je bila določena z upoštevanjem medgeneracijske vzajemnosti.
(2) Zavarovalnice vrnejo zavarovancem dopolnilnega zdravstvenega zavarovanja, katerih premija ne upošteva medgeneracijske vzajemnosti, sredstva v višini matematičnih rezervacij oziroma rezervacij za starost po stanju na dan preoblikovanja ali prekinitve zavarovanja. Obveznosti zavarovalnice do zavarovancev iz prejšnjega stavka se ne všteva v skupno višino matematičnih rezervacij oziroma rezervacij za starost, do katerih so upravičeni zavarovanci za katere je bila premija oblikovana z upoštevanjem medgeneracijske vzajemnosti in so upravičeni do sorazmernega deleža na osnovi 7. oziroma 8. člena tega sklepa.
Vračilo in pobot sredstev matematičnih rezervacij oziroma rezervacij za starost
10. člen
(1) Zavarovalnica mora znesek matematičnih rezervacij oziroma rezervacij za starost izplačati zavarovancem najpozneje do 31. 8. 2007.
(2) Zavarovalnica mora znesek matematičnih rezervacij oziroma rezervacij za starost, ki pripada posameznemu zavarovancu na dan 28. 2. 2006, obrestovati od 1. 3. 2006 do dneva izplačila po povprečni letni obrestni meri bank za nove vezane vloge za gospodinjstva od enega do dveh let (), veljavni za mesec marec 2006, ki jo objavi Banka Slovenije, in obresti skupaj z glavnico izplačati zavarovancu.
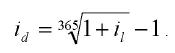
(3) V obdobju od 1. 3. 2006 do dneva izplačila zneska iz drugega odstavka tega člena se obresti računajo dnevno na konformni način z dnevno obrestno mero (), ki se izračuna z enačbo
(4) Število obrestovanih dni iz drugega odstavka tega člena je število dni od vključno 1. 3. 2006 do zadnjega dne pred izplačilom zneska iz prvega odstavka tega člena.
11. člen
(1) Zavarovalnica lahko na željo zavarovanca znesek matematičnih rezervacij oziroma rezervacij za starost delno ali v celoti pobota z zavarovalno premijo prilagojenega pogodbenega razmerja pri zavarovancih, ki so pristali na prilagoditev pogodbenega razmerja in so upravičeni do izplačila matematičnih rezervacij oziroma rezervacij za starost.
(2) V primeru pobota matematičnih rezervacij oziroma rezervacij za starost z zavarovalno premijo, mora zavarovalnica znesek matematičnih rezervacij oziroma rezervacij za starost na dan 28. 2. 2006 obrestovati v skladu s prejšnjim členom tega sklepa in obrestovani znesek zmanjševati za premije, ki jih mora zavarovalec oziroma zavarovanec plačati zavarovalnici za dopolnilno zdravstveno zavarovanje.
(3) Zavarovalnica mora najkasneje do 31. 8. 2007 izplačati zavarovancem neizplačan znesek matematičnih rezervacij oziroma rezervacij za starost, povečan za pripadajoče obresti in zmanjšan za pobotane zneske premij.
Vloga pooblaščenega aktuarja
12. člen
(1) Pooblaščeni aktuar mora preveriti, ali je skupna višina matematičnih rezervacij oziroma rezervacij za starost izračunana v skladu z določili tega sklepa.
(2) Pooblaščeni aktuar mora Agenciji za zavarovalni nadzor do 31. 3. 2006 poslati mnenje, s katerim potrdi:
– pravilnost izračuna skupne višine matematičnih rezervacij oziroma rezervacij za starost, do katerih so upravičeni zavarovanci in za katere je zavarovalnica oblikovala te rezervacije,
– skupno višino rezervacij iz prejšnje alinee na dan 28. 2. 2006,
– pravilnost izračuna sorazmernega deleža za posameznega zavarovanca iz 19. člena ZZVZZ-H,
– višino sredstev do katerih je upravičen posamezni zavarovanec iz 19. člena ZZVZZ-H po stanju na dan 28. 2. 2006.
(3) Pooblaščeni aktuar mora vsak mesec po stanju na dan od 31. 3. 2006 do vključno 31. 8. 2007 v roku enega meseca po preteku meseca poslati mnenje o pravilnosti in višini oblikovanih rezervacij za obveznosti do zavarovancev iz 19. člena ZZVZZ-H, do katerih ima zavarovalnica še obveznosti po stanju na zadnji dan meseca in višini zneskov, ki jih je zavarovalnica izplačala posameznim zavarovancem v tem mesecu. Hkrati mora potrditi, da je zavarovalnica posameznim zavarovancem izplačala znesek, do katerega so upravičeni.
Uveljavitev in uporaba sklepa
13. člen
Ta sklep začne veljati 1. novembra 2005.
Ljubljana, dne 5. oktobra 2005.
Predsednik
strokovnega sveta
Agencije za zavarovalni nadzor
dr. Mihael Perman l. r.

AAA Zlata odličnost

Nastavitve piškotkov

Vaše trenutno stanje

Prikaži podrobnosti