Uradni list

Številka 51
Uradni list RS, št. 51/2004 z dne 7. 5. 2004

Prikazana vsebina je v skladu s 33. členom ZoUL arhivska. Izdaje uradnega lista, izdane po 28.2.2026, so dostopne na PISRS.

Uradni list

Uradni list RS, št. 51/2004 z dne 7. 5. 2004

Kazalo

2338. Pravilnik o spremembah in dopolnitvah pravilnika o vrstah, vsebini in poteku specializacij zdravnikov, stran 6881.

Na podlagi določb zakona o zdravniški službi (Uradni list RS, št. 98/99, 67/00, 15/03, 63/03 in 2/04) in 9. ter 28. člena statuta Zdravniške zbornice Slovenije (Uradni list RS, št. 64/96, 22/98, 113/00, 30/01, 43/02, 124/03 in 34/04) je Skupščina Zdravniške zbornice Slovenije na svoji 40. seji, dne 20. 11. 2003 in korespondenčni seji dne 15. 4. 2004, v soglasju z Vlado Republike Slovenije sprejela
P R A V I L N I K
o spremembah in dopolnitvah pravilnika o vrstah, vsebini in poteku specializacij zdravnikov
1. člen
V pravilniku o vrstah, vsebini in poteku specializacij zdravnikov (Uradni list RS, št. 59/03) se v celotnem besedilu beseda "zobozdravnik" v vseh sklonih nadomesti z besedilom "doktor dentalne medicine" v ustreznem sklonu.
2. člen
V 15. členu se za prvim odstavkom dodata nova drugi in tretji odstavek, ki se glasita:
»Na ovojnici mora biti jasna oznaka »Ne odpiraj – Za javni razpis specializacij.«
Če kandidat ne ravna v skladu s prejšnjim odstavkom, se šteje, da vloga sploh ni bila vložena.«
Dosedanji drugi in tretji odstavek postaneta četrti in peti odstavek.
3. člen
V 18. členu se v šestem odstavku besedilo »preteku razpisnega roka« nadomesti z besedilom »odpiranju vlog.«
V sedmem odstavku se besedilo »7 dni po poteku roka za prijavo« nadomesti z besedilom »3 dni po odpiranju vlog.«
V osmem odstavku se za prvim stavkom doda nov stavek, ki se glasi:
»Postopek vodi uradna oseba.«
4. člen
V drugem stavku četrtega odstavka 19. člena se za besedo »pomanjkljivosti« doda besedilo »v navednem roku«.
5. člen
Za prvim odstavkom 22. člena se doda nov drugi odstavek, ki se glasi:
»Izbirna komisija strokovno ovrednoti dokazila iz 23. člena tega pravilnika, ki jih je posamezni kandidat priložil svoji vlogi ter s kandidatom opravi osebni razgovor.«
Dosedanji drugi, tretji, četrti in peti odstavek postanejo tretji, četrti, peti in šesti odstavek.
V novem petem odstavku se v prvem stavku beseda »drugega« nadomesti z besedo: »tretjega«.
Besedilo novega šestega odstavka se spremeni tako, da se glasi:
»Na seji izbirne komisije je navzoča tudi uradna oseba. Uradna oseba sestavi zapisnik, ki ga da kandidatu v pregled in podpis.«
Za novim šestim odstavkom se doda nov sedmi odstavek, ki se glasi:
»Če je na posamezno razpisano specializacijo v eni regiji s popolno vlogo prijavljenih enako ali manjše število kandidatov kot je razpisanih prostih specializantskih mest, se izbirni postopek za te kandidate ne opravi. Če ni zadržkov iz 24. člena tega pravilnika, uradna oseba predlaga predsedniku odobritev teh specializacij.«
6. člen
Prvi odstavek 23. člena se spremeni tako, da se glasi:
»Izbirna merila in sorazmerni delež možnega števila doseženih točk so:
– povprečna ocena dodiplomskega študija (do 30 točk),
– mnenja dosedanjih mentorjev in priporočila (do 20 točk),
– dosedanji dosežki in reference (do 30 točk),
– mnenje izbirne komisije na podlagi osebnega razgovora s kandidatom (do 20 točk).«
Za prvim odstavkom se doda nov drugi odstavek, ki se glasi:
»Če za eno specializantsko mesto kandidira več kandidatov, ki so na podlagi izbirnih meril iz prejšnjega odstavka dosegli enako število točk, izbirna komisija določi dopolnilno merilo. Dopolnilno merilo je ocena na dodiplomskem študiju ali ocena mentorjev na sekundarijatu, iz predmeta oziroma področja, ki se vsebinsko nanaša na specializacijo, za katero kandidat kandidira. Izbirna komisija lahko določi, da se uporabita obe dopolnilni merili hkrati. Če ni mogoče uporabiti nobenega od navedenih dopolnilnih meril, lahko izbirna komisija soglasno določi novo dopolnilno merilo.«
Dosedanji drugi odstavek postane tretji odstavek in se spremeni tako, da se glasi:
»Uradna oseba predlaga predsedniku odobritev specializacije za tiste kandidate, ki so pri posamezni specializaciji dosegli največje število točk, ter za toliko kandidatov, kolikor je bilo pri posamezni specializaciji razpisanih prostih specializantskih mest. Za preostale kandidate uradna oseba predlaga neodobritev specializacije.«
7. člen
V 24. členu se v prvem in drugem odstavku besedilo »izbirna komisija« nadomesti z besedilom »uradna oseba« ter beseda »zavrnitev« z besedo »neodobritev«.
Črta se drugi stavek drugega odstavka.
8. člen
25. člen se spremeni tako, da se glasi:
»Izbirna komisija ob koncu izbirnega postopka pripravi poročilo«.
9. člen
V prvem odstavku 26. člena se besedilo »poročila izbirne komisije« nadomesti z besedilom »predloga uradne osebe«.
10. člen
Za tretjim odstavkom 39. člena se doda nov četrti odstavek, ki se glasi:
»Kandidat, ki ne navede utemeljenega razloga za prekinitev specializacije mora nemudoma nadaljevati z opravljanjem specializacije, sicer izgubi pravico do opravljanja le-te. Kandidat lahko ponovno kandidira na novem razpisu z novo vlogo za isto ali drugo vrsto specializacije.«
Dosedanji četrti odstavek postane peti odstavek.
11. člen
Prvi odstavek 57. člena se spremni tako, da se glasi:
»Specialistični naziv, pridobljen v tujini, prizna Zbornica pod pogoji, ki jih določi svet za izobraževanje in jih potrdi izvršilni odbor Zbornice ter da nanje soglasje minister, pristojen za zdravje.«
Drugi odstavek se črta.
Tretji odstavek postane drugi odstavek in se spremeni tako, da se glasi:
»Specialistični naziv, pridobljen v državah članicah Evropske unije, se prizna po postopku in v skladu s pogoji, ki jih določajo Zakon o postopku priznavanja kvalifikacij državljanom držav članic Evropske unije za opravljanje reguliranih poklicev oziroma reguliranih poklicnih dejavnosti v Republiki Sloveniji (Uradni list RS, št. 21/02), mednarodne pogodbe in ustrezni pravni akti Evropske unije.«
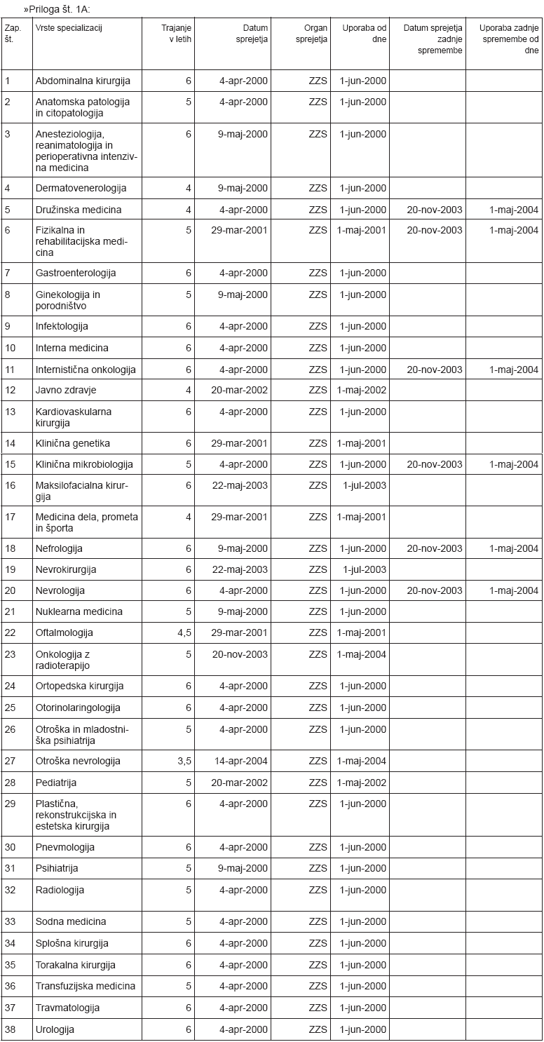
12. člen
Priloga 1A se spremeni tako, da se glasi:
13. člen
Ta pravilnik začne veljati naslednji dan po objavi v Uradnem listu Republike Slovenije.
Št. 076/04
Ljubljana, dne 15. aprila 2004.
EVA 2004-2711-0024
prim. Anton Židanik, dr. med. l. r.
Predsednik skupščine
Zdravniške zbornice Slovenije
 
Soglašam!
Prof. dr. Dušan Keber, dr. med. l. r.
Minister
za zdravje RS
Vlada Republike Slovenije je dala soglasje k temu aktu pod št. 133-00/2003-2 z dne 28. aprila 2004.

AAA Zlata odličnost

Nastavitve piškotkov

Vaše trenutno stanje

Prikaži podrobnosti