Uradni list

Številka 21
Uradni list RS, št. 21/2004 z dne 5. 3. 2004

Prikazana vsebina je v skladu s 33. členom ZoUL arhivska. Izdaje uradnega lista, izdane po 28.2.2026, so dostopne na PISRS.

Uradni list

Uradni list RS, št. 21/2004 z dne 5. 3. 2004

Kazalo

899. Pravilnik o izvedbi komasacije zemljišč na območju občinskega lokacijskega načrta, stran 2446.

Na podlagi 132. člena zakona o urejanju prostora (Uradni list RS, št. 110/02, 8/03 – popr. in 58/03 – ZZK-1) izdaja minister za okolje, prostor in energijo
P R A V I L N I K
o izvedbi komasacije zemljišč na območju občinskega lokacijskega načrta
I. SPLOŠNE DOLOČBE
1. člen
(namen pravilnika)
Ta pravilnik podrobneje določa postopke izvajanja komasacije ter merila in kriterije za novo razdelitev zemljišč na območju občinskega lokacijskega načrta.
2. člen
(komasacijsko območje)
Meja komasacijskega območja je enaka meji občinskega lokacijskega načrta, ki predvideva ureditev lastniške strukture s komasacijo (v nadaljnjem besedilu: lokacijski načrt).
3. člen
(podatki o lastništvu nepremičnin in drugih stvarnih pravicah)
(1) Podatki o lastništvu nepremičnin oziroma drugih stvarnih pravicah na zemljiščih so podatki iz zemljiške knjige. Podatki o lastništvu nepremičnin izkazujejo tudi morebitna bremena na nepremičninah.
(2) Podatki o lastništvu nepremičnin se za potrebe izvedbe komasacije dopolnijo s podatki iz predložene listine, ki izkazuje, da ima določena oseba na podlagi pravnega posla pravico vpisati se v zemljiško knjigo kot lastnik.
(3) Prav tako se za potrebe izvedbe komasacije podatki o stvarnih pravicah na zemljiščih dopolnijo tudi s podatki iz predložene listine, ki izkazuje, da ima določena oseba na podlagi pravnega posla pravico vpisati se v zemljiško knjigo kot imetnik stvarne pravice.
4. člen
(podatki o parcelah)
(1) Podatki o zemljiških parcelah (v nadaljnjem besedilu: podatki o parcelah), ki so istovetni uradnim podatkom zemljiškega katastra, za vsako posamezno parcelo izkazujejo:
1. parcelno številko;
2. katastrsko občino, v kateri se parcela nahaja;
3. površino parcele;
4. evidentirano vrsto rabe oziroma dejansko rabo parcele;
5. katastrsko kulturo in katastrski razred;
6. v primeru delitve parcele pa tudi površine njenih posameznih delov oziroma predvideno površino parcele, ki leži v komasacijskem območju.
(2) Podatki iz prejšnjega odstavka se uredijo tako, da so zbrane parcele enega ali več lastnikov v enakem lastniškem razmerju na komasacijskem območju ter po številkah zemljiškoknjižnih vložkov, za vsako katastrsko občino posebej.
(3) Pri podatkih o parcelah se navede datum njihovega prevzema iz zemljiškega katastra.
II. UVEDBA KOMASACIJE
5. člen
(predlog za uvedbo komasacije)
(1) Predlog za uvedbo komasacije vložijo lastniki zemljišč na območju lokacijskega načrta ali z njihovim pooblastilom izvajalec komasacije pri občinskem upravnem organu, ki je pristojen za urejanje prostora (v nadaljnjem besedilu: občinski upravni organ). Sestavni del predloga so podpisane izjave lastnikov parcel na komasacijskem območju, da se strinjajo z uvedbo komasacije, ter prikaz parcel na zemljiško-katastrskem načrtu vključno z izračunom, iz katerega je razvidno, da imajo podpisani lastniki v lasti najmanj 67 odstotkov površine zemljišč na komasacijskem območju.
(2) Površina zemljišč iz prejšnjega odstavka je površina celih parcel v skladu z uradnimi podatki iz zemljiškega katastra ter površina delov parcel na komasacijskem območju, ki se določi na katastrskem načrtu v skladu s predpisi, ki urejajo področje vodenja in vzdrževanja zemljiškega katastra.
(3) Prikaz parcel iz prvega odstavka tega člena mora biti skladen z naslednjima prilogama predloga za uvedbo komasacije:
1. seznamom lastnikov zemljišč na komasacijskem območju dopolnjenim s podatki o parcelah;
2. seznamom imetnikov stvarnih pravic na komasacijskem območju s smiselnimi podatki o parcelah ter podatki o vrsti in vsebini stvarnih pravic.
(4) Predlogu za uvedbo komasacije se priložijo tudi:
1. podatki o izvajalcu komasacije v obsegu iz prvega odstavka 6. člena tega pravilnika. K podatkom o izvajalcu komasacije se priloži pogodbo iz drugega odstavka 6. člena tega pravilnika ter izjavo, da izvajalec komasacije prevzema odgovornost, da organizira komasacijo in skrbi za njeno finančno izvedbo in časovni načrt izvajanja;
2. navedba geodetskega podjetja, ki bo po pogodbi izvajalo tehnične naloge v zvezi s komasacijo z dokazili o tem, da ima to podjetje dovoljenje za izvajanje geodetskih storitev ter navedbo odgovornega geodeta za izvedbo komasacije;
3. finančna konstrukcija pokrivanja stroškov, ki vsebuje najmanj oceno vseh predvidenih stroškov komasacije, opis načina financiranja skupnih in posebnih stroškov ter druga posebna določila in dogovore o poračunu stroškov.
6. člen
(izvajalec komasacije)
(1) Izvajalec komasacije mora naročniku komasacije dokazati finančno, poslovno in strokovno usposobljenost za izvedbo komasacije. Predložiti mora najmanj:
1. izpiske iz sodne evidence, iz katere je razvidno za kakšno dejavnost je podjetje registrirano ter podatke o zakonitem zastopniku;
2. potrdilo, ki ga izda pristojni davčni organ države, da proti podjetju ni bila v zadnjih petih letih izdana pravnomočna odločba za kaznivo dejanje, ki je povezano z njegovim poslovanjem ali izdana pravnomočna sodna ali upravna odločba, s katero je podjetju prepovedano opravljati dejavnost;
3. revidirano bilanco stanja ali izvleček iz bilance stanja ali izkaze ponudnikovih celotnih prihodkov za zadnja tri leta ali mnenja in izkaze bank in drugih specializiranih institucij s tega področja;
4. podatke o morebitnem zavarovanju podjetja;
5. navedbo ključnih referenc podjetja oziroma strokovnega osebja.
(2) Izvajalec komasacije sklene z lastniki zemljišč, ki predlagajo uvedbo komasacije, pogodbo za izvedbo komasacije, v kateri določijo:
1. naloge izvajalca komasacije;
2. medsebojne obveznosti;
3. način financiranja skupnih in posebnih stroškov komasacije;
4. stroške izvajalca in postopkov;
5. obliko nadzora nad porabo sredstev;
6. obliko jamstva za zagotavljanje pokritja stroškov;
7. pooblastila udeležencev komasacijskega postopka, ki se prenesejo na izvajalca.
(3) V pogodbi za izvedbo komasacije se posebej opredeli, če se pokrivanje stroškov izvedbe komasacije zagotavlja z zemljišči iz komasacijskega sklada.
7. člen
(stroški komasacije)
(1) Stroški komasacije so skupni in posebni stroški.
(2) Skupni stroški komasacije so:
1. stroški izvajalca komasacije skladno s pogodbo iz prejšnjega člena;
2. stroški geodetskega podjetja, ki izvaja tehnične naloge v zvezi s komasacijo;
3. stroški vrednotenja;
4. odškodnine za obstoječe objekte in naprave, ki ne bodo ohranili svoje funkcije;
5. stroški finančnega poslovanja;
6. stroški označitve novega parcelnega stanja v naravi;
7. drugi stroški, ki so neposredno povezani z izvedbo komasacije.
(3) Skupni stroški komasacije se preračunajo na ocenjeno vrednost deleža, ki se dodeljuje iz komasacijskega sklada v sorazmerju z vrednostjo tega deleža v celotni ocenjeni vrednosti komasacijskega sklada.
(4) Posebni stroški nastanejo na zahtevo posameznega udeleženca komasacijskega postopka (v nadaljnjem besedilu: komasacijskega udeleženca), na primer posebna cenitev oziroma seznanitev s predvidenim novim stanjem na terenu, ter drugi individualni stroški.
(5) Komasacijski udeleženec krije sorazmerni delež skupnih stroškov glede na pripadajoči delež iz komasacijskega sklada in vse posebne stroške, ki se nanj nanašajo.
(6) Stroški se poplačajo v denarju ali z zemljišči na podlagi odločbe o novi razdelitvi zemljišč iz 24. člena tega pravilnika.
8. člen
(sklep o uvedbi komasacije)
(1) S sklepom o uvedbi komasacije se določijo:
1. komasacijski udeleženci na podlagi seznamov iz tretjega odstavka 5. člena tega pravilnika;
2. obseg in način dovoljenega prometa z zemljišči ter parcelacije na komasacijskem območju;
3. predvideni način financiranja.
(2) Sklep iz prejšnjega odstavka vsebuje tudi prikaz parcel iz prvega odstavka 5. člena tega pravilnika.
(3) Sklep o uvedbi komasacije občinski upravni organ vroči in javno objavi na način v skladu s predpisom o urejanju prostora ter o uvedbi komasacije obvesti tudi krajevno pristojni upravni organ za izdajanje gradbenih dovoljenj in zemljiško knjigo. Občinski upravni organ zemljiški knjigi istočasno predlaga tudi zaznambo prepovedi gradnje ter zaznambo prepovedi prometa z zemljišči in parcelacije na območju komasacije razen v primeru izjem iz druge točke prvega odstavka tega člena.
9. člen
(strokovna komisija)
(1) Člani strokovne komisije morajo imeti najmanj visokošolsko izobrazbo in so strokovnjaki s pravnega, urbanističnega in geodetskega področja.
(2) Občinski upravni organ imenuje člane iz prejšnjega odstavka izmed fizičnih oseb, ki dokažejo izpolnjevanje pogojev za člane strokovne komisije.
(3) Člani strokovne komisije ne morejo odločati v tistih zadevah, o katerih odloča občinski upravni organ.
(4) Naloge strokovne komisije so:
1. vodenje postopka komasacije;
2. priprava mnenj o izbranem geodetskem podjetju na podlagi posredovane dokumentacije o poslovni in strokovni usposobljenosti;
3. posredovanje mnenj glede dovolitve prometa z zemljišči in parcelacije na komasacijskem območju;
4. organizacija razgrnitve elaboratov v komasacijskem postopku;
5. sodelovanje in podajanje strokovnih pojasnil na vseh javnih razgrnitvah;
6. usklajevanje rešitev lokacijskega načrta glede izvedbe komasacije;
7. preveritev ustrezne velikosti površin, ki se izvzamejo za pokritje skupnih stroškov komasacije;
8. sodelovanje pri pripravi elaborata nove razdelitve zemljišč;
9. priprava mnenj glede podanih ugovorov v postopku komasacije;
10. sodelovanje pri pripravi strokovnih meril za razdelitev komasacijskega sklada ter oblikovanju predloga delitve komasacijskega sklada;
11. sodelovanje pri pripravi predloga poračuna vrednosti;
12. svetovanje, pomoč in sodelovanje s komasacijskimi udeleženci;
13. priprava predlogov odločb o novi razdelitvi zemljišč.
10. člen
(komasacijski odbor)
(1) Komasacijski odbor zastopa interese komasacijskih udeležencev skozi ves postopek komasacije, vključno s sodelovanjem na javnih razgrnitvah ter na obravnavi pripomb in predlogov v tem postopku.
(2) Komasacijski odbor šteje tri člane, ki skupaj predstavljajo komasacijske udeležence. Najmanj en član komasacijskega odbora se izvoli izmed komasacijskih udeležencev, ki niso predlagali uvedbe komasacije.
(3) Kandidate za člane komasacijskega obora lahko predlaga vsak izmed komasacijskih udeležencev pri čemer so izvoljeni tisti kandidati, ki sprejmejo kandidaturo in so ob upoštevanju pogoja iz prejšnjega odstavka po vrstnem redu prejeli največ glasov, oddanih z dviganjem rok na volitvah.
(4) O poteku volitev in izvolitvi članov komasacijskega odbora se sestavi poseben zapisnik, ki ga podpišejo vsi udeleženci volitev.
(5) Seznam članov komasacijskega odbora z dokumentacijo o izvolitvi se pošlje pristojnemu občinskemu upravnemu organu, o izvoljenih članih odbora pa se obvesti tudi izvajalca komasacije.
III. IZVEDBA KOMASACIJE
11. člen
(ureditev mej in parcelacija)
(1) Zahtevo za ureditev meje oboda komasacijskega območja ali parcelacijo vloži izvajalec komasacije pri pristojni geodetski upravi. Zahtevi mora predložiti:
1. odločbo o dovolitvi pripravljalnih del, izdano na osnovi pravnomočnega sklepa o uvedbi komasacije;
2. elaborat ureditve meje oboda komasacijskega območja in parcelacije na njegovem obodu, ki ga izdela geodetsko podjetje, po predpisih o zemljiškem katastru.
(2) Hkrati z izdajo odločbe iz prve točke prejšnjega odstavka občinski upravni organ s sklepom prekine postopek komasacije.
12. člen
(elaborat obstoječega stanja)
(1) Elaborat obstoječega stanja komasacijskega območja (v nadaljnjem besedilu: elaborat obstoječega stanja) sestavljata prikaz obstoječega stanja zemljišč na komasacijskem območju in prikaz vrednotenja zemljišč in objektov na tem območju.
(2) Prikaz obstoječega stanja zemljišč na komasacijskem območju (v nadaljnjem besedilu: prikaz obstoječega stanja) se izdela na podlagi prikaza parcel iz prvega odstavka 5. člena tega pravilnika in uskladi z morebitnimi spremembami zaradi ureditve mej oziroma obodne parcelacije, ter vsebuje:
1. podatke o parcelah;
2. zemljiško katastrske načrte s stanjem urejene meje oboda komasacijskega območja z označitvijo parcel posameznega komasacijskega udeleženca;
3. abecedne sezname komasacijskih udeležencev s podatki in dokazili o lastništvu in drugih stvarnih pravicah.
(3) Prikaz vrednotenja zemljišč in objektov na komasacijskem območju (v nadaljnjem besedilu: prikaz vrednotenja) vsebuje:
1. opis ovrednotenih zemljišč;
2. opis ovrednotenih objektov oziroma nasadov, ki predvidoma ne bodo ohranil funkcije po izvedenem lokacijskem načrtu;
3. osnovne podatke o uradnem izbranem cenilcu;
4. prikaz uporabljenih strokovnih podlag ter meril in kriterijev za vrednotenje iz veljavne metodologije za vrednotenje;
5. spisek parcel z razvidno ocenjeno vrednostjo v času izdaje sklepa o uvedbi komasacije;
6. prikaz morebitnih bremen na parcelah;
7. spisek objektov in nasadov iz druge točke tega odstavka z razvidno ocenjeno vrednostjo v času izdaje sklepa o uvedbi komasacije.
(4) Ocenjena vrednost (v nadaljnjem besedilu: vrednost) nepremičnin se določi na osnovi strokovnih standardov za posamično tržno vrednotenje nepremičnin.
(5) Udeleženci komasacijskega postopka se lahko sporazumejo, da vrednotenje zemljišč ni potrebno. V tem primeru ne veljajo določbe tega pravilnika, ki se nanašajo na vrednotenje vloženih zemljišč v elaboratu obstoječega stanja.
(6) Vrednotenje zemljišč se praviloma ne izvaja za gradbene parcele z obstoječimi objekti v obsegu, ki se predvidoma z lokacijskim načrtom ne bodo spremenile.
13. člen
(razgrnitev elaborata obstoječega stanja)
(1) Občinski upravni organ izda sklep o razgrnitvi elaborata obstoječega stanja, ki je na vpogled vsem komasacijskim udeležencem ter drugim fizičnim in pravnim osebam, ki izkažejo pravni interes.
(2) Sklep o razgrnitvi elaborata obstoječega stanja se javno objavi na krajevno običajen način in vsebuje najmanj podatke o tem, kje in kako dolgo bo elaborat razgrnjen, kdaj je možen njegov ogled vključno z navedbo kontaktne osebe, ki je pristojna za strokovno obrazložitev elaborata obstoječega stanja. V sklepu se navede tudi način in rok za vložitev ugovorov ter pravne posledice za udeleženca, ki možnosti ugovora ni uveljavil.
(3) V primeru, da je komasacijski udeleženec podal ugovor glede obstoječih parcelnih mej se šteje, da je vložil zahtevo za ureditev meje, če v času razgrnitve elaborata obstoječega stanja naroči pri geodetskemu podjetju izdelavo elaborata ureditve meje in v roku enega meseca po preteku razgrnitve vloži zahtevo za ureditev meje na pristojni geodetski upravi. Izkaz o naročilu ter potrdilo o vložitvi zahteve mora udeleženec, v roku osmih dni od nastanka izkaza oziroma prejetja potrdila, predložiti strokovni komisiji, ki o tem obvesti izvajalca komasacije. O izjemnem podaljšanju roka za vložitev zahteve za ureditev meje pri pristojni geodetski upravi odloča občinski upravni organ.
(4) V primeru ugovora na vrednost zemljišč lahko strokovna komisija predlaga občinskemu upravnemu organu ponovno vrednotenje dela ali vseh zemljišč. Če se izkaže, da je bil ugovor neupravičen, pri tem nastale stroške krijejo stranke, ki so podale ugovor.
(5) O ugovorih na elaborat obstoječega stanja odloča občinski upravni organ po predhodni pridobitvi mnenj strokovne komisije v zvezi z vsakim ugovorom. V času razgrnitve elaborata obstoječega stanja se evidentirajo tudi morebitni pisni predlogi, ki se nanašajo na lokacijo dodeljenih zemljišč in jih skupaj z njihovo utemeljitvijo podajo komasacijski udeleženci.
14. člen
(določanje in pridobivanje površin v javno korist ter skupnih površin)
(1) Meje in obseg površin v javno korist in skupnih površin se v komasacijskem postopku določajo in spreminjajo na podlagi lokacijskega načrta.
(2) Na območju lokacijskega načrta predvidene nove površine v javno korist, se v komasacijskem postopku zagotovijo s sorazmernim deležem vseh vloženih zemljišč komasacijskih udeležencev.
(3) Iz komasacijskega sklada se zagotovijo tudi skupne površine, ki so predvidene z lokacijskim načrtom.
(4) Občina se s komasacijskimi udeleženci lahko sporazume o pogojih in načinu pridobitve zemljišč iz drugega odstavka tega člena, pri čemer lahko odškodnino za pridobljena zemljišča predstavlja pokritje sorazmernega deleža skupnih komasacijskih stroškov, lahko pa se sporazumejo, da se ta odškodnina upošteva v pogodbi, ki ureja medsebojne obveznosti v zvezi s priključevanjem objekta na lokalno komunalno infrastrukturo.
15. člen
(merila in kriteriji za novo razdelitev zemljišč)
(1) Med komasacijske udeležence se iz delilnega komasacijskega sklada iz prvega odstavka 16. člena tega pravilnika porazdeli samo gradbene parcele, ki na osnovi večje vrednosti vloženega deleža v delilni komasacijski sklad pripadajo posameznemu udeležencu, oziroma več udeležencem z enakim lastniškim razmerjem kot je bilo na vloženih parcelah oziroma njihovih delih.
(2) Gradbene parcele, ki jih komasacijskim udeležencem ni možno dodeliti v celoti, se ob upoštevanju že dodeljenih parcel, dodelijo po načelu večje vrednosti preostanka vloženega deleža v delilni komasacijski sklad. Ob tem se komasacijskim udeležencem dodeli čim bolj zaokroženo zemljišče.
(3) Pri dodeljevanju gradbenih parcel se, kolikor ni navzkrižnih interesov, upoštevajo želje komasacijskih udeležencev.
16. člen
(izračun pripadajočih deležev)
(1) Vsa zemljišča znotraj meje komasacijskega območja sestavljajo komasacijski sklad, pri čemer se za delitev zemljišč med komasacijske udeležence določi delilni komasacijski sklad, ki se izračuna na naslednji način:
M(d)= M ± O(b) – G(p),
kjer je:
– M(d) obseg delilnega komasacijskega sklada;
– M obseg komasacijskega sklada pred uskladitvijo z morebitnimi spremembami površine zaradi ureditve mej oboda komasacije;
– O(b) spremembe površine zaradi ureditve mej oboda komasacije;
– G(p) obstoječe gradbene parcele z zgrajenimi objekti ali deli parcel iz drugega odstavka tega člena, ki se v skladu s predvidenim lokacijskim načrtom ne bodo spremenile.
(2) Če so v komasacijo vključene obstoječe gradbene parcele z zgrajenimi objekti, se novo oblikovana gradbena parcela po lokacijskem načrtu, ki vključuje ta zgrajeni objekt, izloči iz delilnega komasacijskega sklada v obsegu, ki se ne spreminja. Preostali del obstoječe gradbene parcele se vključi v delilni komasacijski sklad.
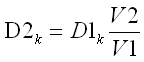
(3) Vstopna vrednost delilnega komasacijskega sklada je enaka vsoti vrednosti vseh zemljišč na območju komasacije v času izdaje sklepa o uvedbi komasacije in se izračuna na naslednji način:
kjer je:
– V1 vstopna vrednost delilnega komasacijskega sklada;
– a(i) površina vsake posamezne parcele, ki vstopa v komasacijski sklad;
– v(i) na podlagi prikaza vrednotenja iz tretjega odstavka 12. člena tega pravilnika ocenjena vrednost kvadratnega metra vsake posamezne parcele, ki vstopa v komasacijski sklad;
– nz število parcel, ki vstopajo v komasacijski sklad;
– D1(k) vrednost vstopnega deleža posameznega komasacijskega udeleženca v delilni komasacijski sklad;
– k število komasacijskih udeležencev.
(4) Pri določitvi vrednosti v komasacijski sklad vloženega zemljišča se šteje, da gre za zazidljiva zemljišča.
(5) Izstopna vrednost delilnega komasacijskega sklada je enaka vsoti vrednosti vseh gradbenih parcel na območju komasacije v času razgrnitve predloga elaborata nove razdelitve zemljišč ob predpostavki sprejetega lokacijskega načrta:
kjer je:
– V2 izstopna vrednost delilnega komasacijskega sklada;
– a(j) površina vsake posamezne parcele, ki izstopa iz delilnega komasacijskega sklada;
– v(j) vrednost kvadratnega metra vsake posamezne parcele, ki izstopa iz komasacijskega sklada;
– nk število gradbenih parcel, ki se oblikujejo iz komasacijskega sklada.
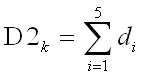
(6) Vsakemu komasacijskemu udeležencu pripada delež izstopne vrednosti delilnega komasacijskega sklada v naslednjem razmerju:
kjer je:
– D2(k) delež izstopne vrednosti, ki iz delilnega komasacijskega sklada pripada posameznemu komasacijskemu udeležencu.
(7) Delež izstopne vrednosti, ki iz delilnega komasacijskega sklada pripada posameznemu komasacijskemu udeležencu, predstavlja vsota naslednjih deležev oziroma njihovih vrednosti:
– d(1) vrednost deleža v dodeljenih gradbenih parcelah,
– d(2) vrednost deleža v skupnih površinah,
– d(3) delež v skupnih stroških komasacije,
– d(4) vrednost deleža v površinah za javno korist,
– d(5) vrednost deleža v površinah namenjenih za prodajo.
(8) Posamezni deleži iz prejšnjega odstavka so upoštevani v deležu izstopne vrednosti, tako da se praviloma doseže čim bolj natančen približek naslednjega izračuna:
kjer je:
– d(i) delež oziroma vrednost deležev od d(1) do vključno d(5).
(9) Kolikor
je potrebno opraviti še poračun vrednosti iz drugega odstavka 17. člena tega pravilnika.
(10) Če je med komasacijskimi udeleženci dosežen sporazum iz petega odstavka 12. člena tega pravilnika, da vrednotenje zemljišč ni potrebno, se namesto vrednostnih deležev iz prejšnjega odstavka upoštevajo površinski deleži zemljišč.
17. člen
(predlog poračuna vrednosti)
(1) Izvajalec komasacije skupaj s strokovno komisijo in komasacijskim odborom pripravi predlog poračuna vrednosti.
(2) Poračun vrednosti predstavlja razliko med pripadajočim deležem izstopne vrednosti posameznega komasacijskega udeleženca iz šestega odstavka prejšnjega člena in vsoto dodeljenih deležev iz osmega odstavka prejšnjega člena. Za vsakega komasacijskega udeleženca velja:
kjer je:
– P(k) poračun vrednosti.
(3) V predlogu poračuna vrednosti se za vsakega komasacijskega udeleženca posebej navede način izplačila pripadajočih vrednosti deležev v površinah za javno korist ter vrednosti deležev v površinah, namenjenih za prodajo.
(4) Kadar se občina, v skladu s četrtim odstavkom 14. člena tega pravilnika, s komasacijskimi udeleženci sporazume, da bo odškodnino za pridobljena zemljišča predstavljalo pokritje sorazmernega deleža skupnih komasacijskih stroškov, se vrednosti deležev v površinah za javno korist upoštevajo pri izračunu deleža v skupnih stroških komasacije, prav tako pa se v tem izračunu lahko upošteva delna ali celotna vrednost deleža v površinah, namenjenih za prodajo.
(5) Če komasacijski udeleženec oceni, da je njegova finančna obremenitev na podlagi poračuna vrednosti prevelika, lahko predlaga, da se mu dodeli manjši delež v zemljiščih, kot mu v skladu z merili za novo razdelitev zemljišč iz tega pravilnika sicer pripada. Tak predlog komasacijski udeleženec vloži v postopku razgrnitve prilog predloga elaborata o novi razdelitvi zemljišč iz 20. člena tega pravilnika v obliki pripomb in predlogov oziroma pisno na občinski upravni organ najkasneje v roku osmih dni po preteku razgrnitve.
(6) V primeru sporazuma iz petega odstavka 12. člena tega pravilnika se pri poračunu vrednosti upošteva povprečna vrednost zemljišč na celotnem komasacijskem območju.
18. člen
(sporazum v postopku komasacije)
(1) Komasacijski udeleženci lahko sporazumno predlagajo drugačno delitev komasacijskega sklada ter sporazum, ki ga podpišejo vsi komasacijski udeleženci, predložijo strokovni komisiji.
(2) Strokovna komisija preuči skladnost sporazuma z lokacijskim načrtom.
(3) Sporazum iz prvega odstavka tega člena, ki izpolnjuje pogoje iz prejšnjega odstavka in je skladen tudi s sprejetim lokacijskim načrtom, je podlaga za izdajo odločbe o novi razdelitvi zemljišč.
19. člen
(predlog elaborata nove razdelitve zemljišč)
(1) Predlog elaborata nove razdelitve zemljišč je v skladu z geodetskimi predpisi ter predpisi, ki urejajo vsebino, obliko in način izdelave občinskega lokacijskega načrta, izdelan načrt predvidenega parcelnega stanja na komasacijskem območju. Predlog elaborata nove razdelitve zemljišč je skladen z elaboratom obstoječega stanja, dopolnjenim s spremembami po reševanju ugovorov ter novim parcelnim stanjem, ki je predvideno z lokacijskim načrtom.
(2) Predlog elaborata nove razdelitve zemljišč se javno razgrne na način in po postopku, ki je predpisan za javno razgrnitev predloga lokacijskega načrta.
20. člen
(priloge predloga elaborata nove razdelitve zemljišč)
(1) V času javne razgrnitve predloga elaborata nove razdelitve zemljišč se razgrnejo tudi njegove priloge, ki so na vpogled vsem komasacijskim udeležencem ter drugim fizičnim in pravnim osebam, ki izkažejo pravni interes v skladu s predpisi o upravnem postopku.
(2) Priloge iz prejšnjega odstavka obsegajo:
1. elaborat obstoječega stanja, ki je dopolnjen z morebitnimi spremembami zaradi ureditve mej oziroma obodne parcelacije;
2. merila in kriterije za novo razdelitev zemljišč, z obrazložitvijo;
3. predlog razdelitvenega izkaza, na katerem so zbrane parcele enega ali več lastnikov v enakem lastniškem razmerju na komasacijskem območju s podatki o lastniku ter skupni površini in vrednosti vloženih in dodeljenih zemljišč, odbitku za površine v javno korist, deležu na skupnih površinah, služnostih ter bremenih, kot tudi stroških komasacije s predvidenimi poračuni vrednosti in drugimi finančnimi poravnavami. Pri izdelavi razdelitvenega izkaza se upoštevajo predlogi in želje komasacijskih udeležencev, podane med razgrnitvijo elaborata obstoječega stanja, ter morebitni dogovori v zvezi s poravnavo vrednosti.
(3) Na mestu javno razgrnjenega predloga elaborata obstoječega stanja se objavi obvestilo, ki vsebuje:
1. seznam prilog;
2. podatke o tem, kje in kdaj je možen njihov ogled;
3. navedbo kontaktne osebe, ki je pristojna za strokovno obrazložitev elaborata;
4. poziv komasacijskim udeležencem, da vložijo morebitne pripombe in predloge z navedbo načina in roka za njihovo vložitev.
(4) Na posebno zahtevo posameznega komasacijskega udeleženca se v naravi pokažejo zemljišča, ki naj bi mu pripadala v skladu s predlogom razdelitvenega izkaza.
21. člen
(obravnava pripomb na predlog elaborata nove razdelitve zemljišč in njegove priloge)
(1) Pripombe in predlogi v zvezi z javno razgrnjenim predlogom elaborata nove razdelitve zemljišč se obravnavajo v skladu s predpisi, ki urejajo vsebino, način in obliko izdelave občinskega lokacijskega načrta.
(2) O vloženih pripombah in predlogih na priloge predloga elaborata nove razdelitve zemljišč se pripravi zapisnik, hkrati pa strokovna komisija pripravi predloge stališč pred njihovo obravnavo in jih posreduje občinskemu upravnemu organu ter pripravljalcu lokacijskega načrta.
(3) Občinski upravni organ razpiše po prejemu listin iz prejšnjega odstavka obravnavo pripomb in predlogov na priloge elaborata nove razdelitve zemljišč. Na obravnavo vabi pripravljavca lokacijskega načrta, strokovno komisijo, komasacijski odbor, izvajalca geodetskih del ter udeležence komasacijskega postopka.
(4) Občinski upravni organ na podlagi obravnave iz prejšnjega člena predlaga potrebne spremembe oziroma dopolnitve predloga elaborata nove razdelitve zemljišč oziroma predloga lokacijskega načrta in predlog posreduje pripravljavcu lokacijskega načrta najkasneje v roku 30 dni po končani javni razgrnitvi.
(5) Občinski upravni organ sprejme odločitev o spremembah in dopolnitvah prilog predloga elaborata iz tega člena.
22. člen
(elaborat nove razdelitve zemljišč)
(1) Po sprejetju lokacijskega načrta se pripravi elaborat nove razdelitve zemljišč na podlagi načrta gradbenih parcel iz lokacijskega načrta ter prilog predloga elaborata nove razdelitve zemljišč z morebitnimi spremembami in dopolnitvami iz prejšnjega člena.
(2) Elaborat nove razdelitve zemljišč vsebuje v pregledni obliki zbrane vse podatke, ki jih občinski upravni organ potrebuje za izdajo odločbe o novi razdelitvi zemljišč iz 24. člena tega pravilnika, hkrati pa tudi podatke za vpis novih parcel v zemljiški kataster v skladu z geodetskimi predpisi.
(3) Nove parcele iz prejšnjega odstavka, ki se vpisujejo v zemljiški kataster, so gradbene parcele iz načrta gradbenih parcel sprejetega lokacijskega načrta.
(4) Del elaborata nove razdelitve zemljišč, ki je potreben za vpis novih parcel v zemljiški kataster v skladu z geodetskimi predpisi, se izdela v obliki zaključene celote.
(5) Geodetsko podjetje mora elaborat iz tega člena občinskemu upravnemu organu predati v štirih enakih izvodih.
(6) Pred izdajo odločbe o novi razdelitvi zemljišč iz 24. člena tega pravilnika občinski upravni organ potrdi prejeti elaborat nove razdelitve zemljišč, geodetsko podjetje pa v naravi označi parcelne meje v skladu s potrjenim elaboratom nove razdelitve zemljišč.
IV. NOVA RAZDELITEV ZEMLJIŠČ
23. člen
(postopek komasacije in sprejem lokacijskega načrta)
(1) Če občinski svet ugotovi, da lokacijskega načrta iz drugega člena tega pravilnika ne bo sprejel in o tem sprejme ustrezen odlok po predpisih, ki urejajo postopek priprave in sprejema občinskega lokacijskega načrta, se postopek komasacije ustavi.
(2) Občinski upravni organ v primerih iz prejšnjega odstavka sprejme sklep o ustavitvi postopka komasacije in ga vroči strankam v postopku komasacije.
(3) S sprejetjem sklepa iz prejšnjega odstavka prenehajo veljati prepovedi gradnje, prometa z zemljišči in parcelacije na območju komasacije o čemer občinski upravni organ obvesti pristojno geodetsko upravo, krajevno pristojni upravni organ za izdajanje gradbenih dovoljenj in zemljiško knjigo skupaj s predlogom za izbris zaznambe teh prepovedi.
24. člen
(odločba o novi razdelitvi zemljišč)
(1) Z odločbo o novi razdelitvi zemljišč se v skladu z elaboratom nove razdelitve zemljišč iz 22. člena tega pravilnika:
1. določijo meje novih parcel z zemljiško katastrskimi točkami, ki so označene na grafičnem prikazu novih parcel, ki je sestavni del odločbe o novi razdelitvi zemljišč, in odloči o lastništvu parcel;
2. izrecno navede za nepremičnine iz prejšnjega odstavka, da se pridobijo v korist novih lastnikov parcel, za vsako nepremično in njen lastniški delež posebej. V navedbi so vsebovani vsi podatki, ki jih glede vknjižbe določajo predpisi, ki urejajo zemljiško knjigo;
3. odloči o načinu izpolnitve dolžnosti izvajalca, da poskrbi za vpis novih lastnikov parcel iz prejšnje točke v zemljiško knjigo;
4. odloči o pripombah in predlogih, danih na elaborat nove razdelitve zemljišč v skladu z odločitvijo iz petega odstavka 21. člena tega pravilnika;
5. določijo denarne odškodnine in poračun vrednosti zemljišč;
6. določi skupne stroške in delež teh stroškov, ki jih je dolžan plačati posamezen komasacijski udeleženec;
7. določi način poravnave morebitne razlike med predvideno in realizirano vrednostjo deleža v površinah namenjenih za prodajo oziroma drugih deležev, če je bil tak delež že upoštevan v deležu skupnih stroškov komasacije;
8. določijo posebni stroški komasacijskega udeleženca;
9. določijo roki in način plačila obveznosti.
(2) Z odločbo o novi razdelitvi zemljišč se odloči tudi o tistih služnostih, ki jih je nujno potrebno zagotoviti za nemoteno funkcioniranje prostorske ureditve, kot je predvidena v lokacijskem načrtu in s tem povezanim nemotenim delovanjem gospodarskih javnih služb. Odločitev o služnostih v izreku vsebuje tudi smiselno navedbo iz druge točke prejšnjega odstavka ter odločitev o načinu vpisa iz tretje točke prejšnjega odstavka.
(3) Obrazložitev odločbe, poleg sestavin, ki jih določajo predpisi, ki urejajo upravni postopek, vsebuje obrazložitev načina uvedbe in vodenja komasacijskega postopka ter odločanja za vse komasacijske udeležence in obrazložitev reševanja predlogov in pripomb posameznih komasacijskih udeležencev na razgrnjene elaborate.
(4) V obrazložitvi odločbe se, poleg sestavin iz prejšnjega odstavka, navedejo tudi podatki o zemljiščih ki jih je komasacijski udeleženec vložil v komasacijski sklad ter podatki o zemljiščih, ki so bila komasacijskemu udeležencu dodeljena.
(5) Podatki o zemljiščih, ki jih je komasacijski udeleženec vložil v komasacijski sklad vsebujejo:
1. podatke o parcelah;
2. vrednost za vsako vloženo parcelo in skupna vrednost vloženih zemljišč, razen v primerih iz šestega odstavka 12. člena tega pravilnika;
3. delež vloženega zemljišča;
4. delež lastništva zaradi poplačila stroškov postopka;
5. podatke o stvarnih pravicah.
(6) Podatki o zemljiščih, dodeljenih komasacijskemu udeležencu iz komasacijskega sklada vsebujejo:
1. podatke o novih parcelah vključno z obsegom in deleži morebitnih skupnih površin;
2. celotno površino in vrednost dodeljenih parcel;
3. morebitne poravnave razlik v vrednosti in način finančne poravnave;
4. morebitne odškodnine za naprave po posebnih cenitvah;
5. obveznosti komasacijskega udeleženca glede poravnave stroškov operativne izvedbe komasacije in način poravnave finančnih obveznosti;
6. morebitne odločitve in napotila glede izbrisov in vknjižb bremen, služnosti in drugih pravic oziroma omejitev v zemljiški knjigi;
7. odločitve o pripombah in predlogih posameznega komasacijskega udeleženca, danih na elaborat nove razdelitve zemljišč.
(7) Za vse komasacijske udeležence se poleg drugih sestavin odločbe, ki so predpisane s tem pravilnikom in predpisi, ki urejajo upravni postopek, navedejo naslednji podatki:
1. deleži iz sedmega odstavka 16. člena;
2. poračun vrednosti iz 17. člena;
3. kriteriji delitve komasacijskega sklada;
4. določbe o prevzemu dodeljenih parcel v posest;
5. drugi podatki, ki se tičejo vseh udeležencev.
25. člen
(poračun vrednosti)
(1) Poračun vrednosti se izvaja preko posebnega komasacijskega računa.
(2) Ob uvedbi komasacije izvajalec komasacije odpre poseben komasacijski račun, preko katerega morajo potekati vse transakcije. Komasacijski račun se zapre ob zaključku komasacije in ko so vse finančne obveznosti poravnane.
(3) Izvajalec komasacije lahko zagotovi sredstva za poračun vrednosti tako, da proda gradbene parcele, in sicer najprej tiste, ki jih na osnovi meril in kriterijev za novo razdelitev zemljišč iz tega pravilnika ni mogoče v celoti dodeliti nobenemu komasacijskemu udeležencu. Skladno s pogodbo lahko na enak način izvajalec zagotovi sredstva za pokritje skupnih stroškov komasacije.
(4) Zemljišča, ki jih izvajalec komasacije prodaja zaradi zagotovitve sredstev za poračun vrednosti oziroma pokritje skupnih stroškov komasacije, se prodajajo najmanj po vrednosti v(j) iz petega odstavka 16. člena tega pravilnika. Če se zemljišče ne more prodati v šestih mesecih lahko proda izvajalec komasacije zemljišče na javni dražbi z izklicno ceno, ki jo določi občinski upravni organ.
26. člen
(vpis novega stanja)
(1) Dokončna odločba o novi razdelitvi zemljišč iz 24. člena tega pravilnika je v delu, kjer je odločeno o novem parcelnem stanju in lastnikih parcel ter nujnih služnostih iz drugega odstavka 24. člena tega pravilnika, pravnomočna.
(2) Občinski upravni organ pošlje odločbo o novi razdelitvi zemljišč iz prejšnjega odstavka skupaj z elaboratom nove razdelitve zemljišč iz 22. člena tega pravilnika pristojni geodetski upravi, ki izvede vpis novih parcel v zemljiški kataster v skladu z geodetskimi predpisi ter o tem obvesti občinski upravni organ.
(3) Prejeto obvestilo o vpisu novih parcel v zemljiški kataster občinski upravni organ nemudoma posreduje izvajalcu komasacije, ki na podlagi odločbe o novi razdelitvi zemljišč pri pristojnem zemljiškoknjižnem sodišču vloži predlog vknjižbe lastninske in drugih stvarnih pravic. Izvajalec komasacije predlaga vpis lastninske in drugih stvarnih pravic v zemljiško knjigo za vsakega lastnika oziroma imetnika stvarne pravice posebej, in sicer najkasneje v roku 30 dni po prejetju obvestila o vpisu novih parcel v zemljiški kataster.
V. PREHODNA IN KONČNA DOLOČBA
27. člen
(vrednotenje nepremičnin v prehodnem obdobju)
Do izdaje predpisov s področja vrednotenja nepremičnin se vrednost nepremičnine določa in ocenjuje po kriterijih, ki so predvideni za določitev odškodnin v postopkih razlastitve v skladu s predpisi o urejanju prostora.
28. člen
(začetek veljavnosti)
Ta pravilnik začne veljati petnajsti dan po objavi v Uradnem listu Republike Slovenije.
Št. 463-00-13/2003
Ljubljana, dne 24. februarja 2004.
EVA 2003-2511-0177
mag. Janez Kopač l. r.
Minister
za okolje, prostor in energijo

AAA Zlata odličnost

Nastavitve piškotkov

Vaše trenutno stanje

Prikaži podrobnosti