Uradni list

Številka 59
Uradni list RS, št. 59/2010 z dne 23. 7. 2010

Prikazana vsebina je v skladu s 33. členom ZoUL arhivska. Izdaje uradnega lista, izdane po 28.2.2026, so dostopne na PISRS.

Uradni list

Uradni list RS, št. 59/2010 z dne 23. 7. 2010

Kazalo

3270. Zakon o potrošniških kreditih (ZPotK-1), stran 8877.

Na podlagi druge alinee prvega odstavka 107. člena in prvega odstavka 91. člena Ustave Republike Slovenije izdajam
U K A Z
o razglasitvi Zakona o potrošniških kreditih (ZPotK-1)
Razglašam Zakon o potrošniških kreditih (ZPotK-1), ki ga je sprejel Državni zbor Republike Slovenije na seji 9. julija 2010.
Št. 003-02-7/2010-9
Ljubljana, dne 16. julija 2010
dr. Danilo Türk l.r.
Predsednik
Republike Slovenije
Z A K O N
O POTROŠNIŠKIH KREDITIH (ZPotK-1)
I. SPLOŠNE DOLOČBE
1. člen
(predmet zakona)
(1) Ta zakon ureja kreditne pogodbe, pri katerih kot jemalec kredita nastopa potrošnik ali potrošnica (v nadaljnjem besedilu: potrošnik), ki jemlje kredit pod pogoji in za namen, ki ga določa ta zakon.
(2) S tem zakonom se v pravni red Republike Slovenije prenaša Direktiva 2008/48/ES Evropskega parlamenta in Sveta z dne 23. aprila 2008 o potrošniških kreditnih pogodbah in razveljavitvi Direktive Sveta 87/102/EGS (UL L št. 133 z dne 22. 5. 2008, str. 66).
2. člen
(pomen izrazov)
V tem zakonu uporabljeni izrazi pomenijo:
1. dajalec ali dajalka kredita (v nadaljnjem besedilu: dajalec kredita) je fizična ali pravna oseba, ki da ali obljubi, da bo dala kredit ali posojilo v okviru svoje dejavnosti, poslovanja ali poklica;
2. efektivna obrestna mera je v odstotku izražena stopnja, ki izraža razmerje med skupnimi stroški kredita za potrošnika, vključno s stroški iz drugega odstavka 22. člena tega zakona, in skupnim zneskom kredita;
3. fiksna kreditna obrestna mera pomeni, da se dajalec kredita in potrošnik dogovorita za celotno obdobje trajanja kreditne pogodbe za eno samo kreditno obrestno mero oziroma za več kreditnih obrestnih mer za različna obdobja, pri čemer se za vsako posamezno obdobje uporablja fiksno določen odstotek; če v kreditni pogodbi niso določene vse kreditne obrestne mere, se šteje, da je kreditna obrestna mera fiksna za tista obdobja, za katera je bila določena izključno s fiksno določenim odstotkom, o katerem je bilo dogovorjeno ob sklenitvi kreditne pogodbe;
4. kreditna obrestna mera je letna obrestna mera, izražena kot spremenljivi ali nespremenljivi odstotek zneska črpanega kredita;
5. kreditna pogodba z dovoljeno možnostjo prekoračitve je kreditna pogodba, s katero dajalec kredita izrecno da potrošniku pravico, da razpolaga s sredstvi, ki presegajo obstoječe stanje na potrošnikovem plačilnem računu;
6. kreditni posrednik ali posrednica (v nadaljnjem besedilu: kreditni posrednik) je fizična ali pravna oseba, ki v okviru svoje dejavnosti, poslovanja ali poklica in na podlagi pooblastila dajalca kredita potrošnikom predstavlja ali ponuja kredite, jim pomaga v postopkih pred sklenitvijo kreditne pogodbe ali v imenu dajalca kredita s potrošniki sklepa kreditne pogodbe;
7. kreditni posrednik v pomožni funkciji je fizična ali pravna oseba, pri kateri dejavnost posredništva ni glavna dejavnost;
8. molče dovoljena prekoračitev je prekoračitev, s katero dajalec kredita potrošniku na podlagi konkludentnih dejanj dovoli, da razpolaga s sredstvi, ki presegajo obstoječe stanje na plačilnem računu potrošnika ali dogovorjeno dovoljeno prekoračitev;
9. potrošnik je fizična oseba, ki v poslih po tem zakonu deluje za namene izven svoje poklicne ali pridobitne dejavnosti;
10. potrošniška kreditna pogodba (v nadaljnjem besedilu: kreditna pogodba) je pogodba, s katero dajalec kredita potrošniku da ali obljubi, da mu bo dal kredit v obliki odloga plačila, posojila ali drugega podobnega finančnega dogovora;
11. potrošniška hipotekarna kreditna pogodba je pogodba, s katero dajalec kredita potrošniku da ali obljubi, da mu bo dal kredit, katerega vračilo je zavarovano s hipoteko ali zemljiškim dolgom na nepremičnini;
12. povezana kreditna pogodba je kreditna pogodba, namenjena financiranju pogodbe o prodaji določenega blaga ali opravljanju določene storitve, pri čemer ti dve pogodbi sestavljata komercialno enoto.
Šteje se, da komercialna enota obstaja, kadar:
- ponudnik ali ponudnica (v nadaljnjem besedilu: ponudnik) blaga ali storitve sam financira kredit v korist potrošnika, ali
- blago ali storitev financira tretja stranka, tako da v zvezi s pripravo ali sklenitvijo kreditne pogodbe uporablja storitev ponudnika blaga ali izvajalca storitve, ali
- je blago ali storitev, ki se financira iz kredita, v kreditni pogodbi izrecno navedena;
13. skupni znesek kredita je najvišji znesek, ki je potrošniku na razpolago po kreditni pogodbi;
14. skupni stroški kredita so vsi stroški, vključno z obrestmi, provizijami, davki in drugimi vrstami pristojbin, ki jih mora potrošnik plačati v zvezi s kreditno pogodbo in so dajalcu kredita znani, stroški, povezani s pomožnimi storitvami v zvezi s kreditno pogodbo, zlasti zavarovalne premije, članarine, takse in stroški drugih pogodb, sklenjenih z dajalcem kredita ali drugim podjetjem, kot ga opredeljuje zakon, ki ureja varstvo potrošnikov, če je sklenitev dodatne pogodbe o storitvah obvezna že za samo pridobitev kredita ali tako določajo splošni pogoji, pod katerimi dajalec kredita kredit trži; v skupne stroške kredita se ne vštevajo notarski stroški in zavarovalne premije za zavarovanje blaga, katerega nakup se financira s kreditom;
15. skupni znesek, ki ga mora plačati potrošnik, je vsota skupnega zneska kredita in skupnih stroškov kredita;
16. trajni nosilec podatkov je nosilec podatkov, ki potrošniku omogoča trajno shranjevanje nanj naslovljenih podatkov ali informacij, trajen dostop do njih in njihovo reprodukcijo.
3. člen
(izjeme od uporabe zakona)
Ta zakon se ne uporablja za:
1. najemne pogodbe ali pogodbe o finančnem najemu (lizing), kadar ta ali druga pogodba določa, da lastninska pravica ne preide na najemojemalca;
2. kreditne pogodbe z dovoljeno možnostjo prekoračitve stanja na plačilnem računu, ki določajo odplačilo kredita v enem mesecu;
3. kreditne pogodbe, ki določajo odplačilo kredita v obrokih ali z enkratnim plačilom, obakrat brez plačila obresti in drugih stroškov;
4. kreditne pogodbe, ki določajo odplačilo kredita v treh mesecih, s plačilom stroškov, ki ne presegajo 0,1% skupnega zneska kredita ali zneska 10 eurov;
5. kreditne pogodbe, s katerimi delodajalec zunaj svoje glavne dejavnosti kredit dodeli svojim zaposlenim brezobrestno ali po nižjih povprečnih efektivnih obrestnih merah, kot jih za potrošniške kredite uporabljajo banke in hranilnice po zakonu, ki ureja bančništvo, razen če gre za banke in druge finančne organizacije, katerih ekonomsko pomemben del dejavnosti je dajanje kreditov;
6. kreditne pogodbe, sklenjene z investicijskimi podjetji ali kreditnimi institucijami, katerih namen je, da se vlagatelju omogoči, da opravi transakcijo, povezano z enim ali več instrumenti, navedenimi v zakonu, ki ureja trg finančnih instrumentov, če je investicijsko podjetje ali kreditna institucija, ki kredit odobri, vključena v tako transakcijo;
7. kreditne pogodbe, ki se nanašajo na brezplačen odlog plačila obstoječega dolga;
8. kreditne pogodbe za posojila omejenemu krogu potrošnikov, s katerimi dajalec kredita izpolnjuje zakonske obveznosti splošnega pomena, in se dodeljujejo brez obresti ali po nižjih povprečnih efektivnih obrestnih merah, kot jih za potrošniške kredite uporabljajo banke in hranilnice po zakonu, ki ureja bančništvo;
9. pogodbe o trajnem opravljanju storitev ali dobavi blaga enake vrste, kadar potrošnik storitev ali blago plačuje v zneskih, ki dospevajo letno ali v določenih krajših časovnih presledkih (občasne terjatve).
4. člen
(omejena uporaba)
(1) Za kreditne pogodbe z dovoljeno možnostjo prekoračitve stanja na plačilnem računu potrošnika, pri katerih mora potrošnik kredit odplačati v treh mesecih ali kadar koli na zahtevo dajalca kredita, ter pri reprogramiranju teh pogodb se uporabljajo 3. člen, 1. do 3. točka prvega odstavka 5. člena, drugi in tretji odstavek 5. člena, 6., 8. in 9. člen, prvi odstavek 10. člena ter 11., 12., 20., 22., 23., 27., 28., 33., 36., 38., 39., 40. in 41. člen tega zakona.
(2) Za molče dovoljene prekoračitve stanja na plačilnem računu se uporabljajo 3., 13., 27., 28., 33., 38., 40. in 41. člen tega zakona.
(3) Za kreditno pogodbo, s katero se potrošnik in dajalec kreditov dogovorita o načinu odloga odplačil ali spremenjeni dinamiki odplačil (reprogram), se uporabljajo 3., 5., 6., 7., 8. in 9. člen, prvi odstavek 10. člena, 1. do 9. ter 12. in 13. točka tretjega odstavka in peti odstavek 10. člena, 11., 13., 16., 19. ter 22. do 41. člen tega zakona pod pogojem, da je potrošnik v zamudi z odplačilom kredita, tak dogovor pa lahko prepreči sodni postopek v zvezi z zamudo, nova pogodba pa za potrošnika ne vsebuje manj ugodnih pogojev.
II. OGLAŠEVANJE
5. člen
(vsebina oglasnih sporočil)
(1) Pri vsakem oglaševanju v zvezi s kreditnimi pogodbami, ki vsebuje obrestno mero ali druge podatke v zvezi s stroški kredita za potrošnika, morajo biti jasno, razumljivo in poudarjeno navedene te informacije:
1. kreditna obrestna mera z navedbo, ali gre za fiksno, spremenljivo ali kombinirano obrestno mero in morebitne druge stroške potrošnika ob sklenitvi pogodbe;
2. skupni znesek kredita;
3. efektivna obrestna mera;
4. obdobje trajanja kreditne pogodbe, razen kadar gre za pogodbo, sklenjeno za nedoločen čas;
5. blago ali storitev ter cena in znesek vsakega vnaprejšnjega plačila, če gre za kredit v obliki odloga plačila;
6. skupni znesek, ki ga mora plačati potrošnik, in višina posameznih odplačil, če je to mogoče.
(2) Informacije morajo biti prikazane s pomočjo reprezentativnega primera.
(3) Pri pisnem oglaševanju morajo biti informacije, povezane z efektivno obrestno mero ali skupnim zneskom, ki ga mora plačati potrošnik, dane v besedilu, ki je najmanj enako veliko in enako poudarjeno kot tisto, s katerimi so dane druge informacije o značilnostih financiranja, zlasti oglaševana kreditna obrestna mera. Informacije morajo biti navedene v osrednjem delu oglaševalskega besedila.
(4) Kadar je sklenitev pogodbe o pomožni storitvi, ki se nanaša na kreditno pogodbo, zlasti o zavarovanju, članstvu in drugi pogodbi, sklenjeni z dajalcem kredita ali drugim podjetjem, kot ga opredeljuje zakon, ki ureja varstvo potrošnikov, obvezna za pridobitev kredita ali tako določajo splošni pogoji, pod katerimi se kredit trži, in stroškov te storitve ni mogoče določiti vnaprej, se pri oglaševanju jasno, razumljivo in poudarjeno poleg navedbe efektivne obrestne mere opozori tudi na obveznost sklenitve take pogodbe.
III. OBVEZNOSTI PRED SKLENITVIJO KREDITNE POGODBE
6. člen
(predhodne informacije)
(1) Dajalec kredita ali kreditni posrednik mora pred sklenitvijo kreditne pogodbe potrošniku zagotoviti predhodne informacije o kreditu, na podlagi katerih potrošnik lahko primerja različne ponudbe in presodi ustreznost kredita glede na svoje potrebe in finančni položaj.
(2) Dajalec kredita ali kreditni posrednik mora predhodne informacije zagotoviti pisno na papirju ali drugem trajnem nosilcu podatkov na obrazcu za predhodne informacije o kreditu. Predhodne informacije morajo vsebovati podatke o dajalcu kredita, lastnostih in pogojih kredita, pravicah in obveznostih potrošnika in dajalca kredita ter potreben dodaten pouk in opozorila glede na vrste in način sklepanja kreditnih pogodb.
(3) Pri kreditnih pogodbah, pri katerih odplačila, ki jih opravi potrošnik, ne zagotavljajo takojšnjega ustreznega zmanjšanja skupnega zneska kredita, temveč se uporabijo za naložbe pod pogoji, določenimi v kreditni pogodbi ali pomožni pogodbi, morajo predhodne informacije vsebovati tudi izjavo, da kreditna pogodba ne jamči odplačila celotnega črpanega zneska kredita, razen če je bilo tako jamstvo predloženo.
(4) Pri kreditnih pogodbah, ki se na zahtevo potrošnika sklenejo s pomočjo sredstva za sporazumevanje na daljavo, ki ne omogoča zagotavljanja zahtevanih predhodnih informacij, dajalec kredita izpolni to obveznost do potrošnika takoj po sklenitvi kreditne pogodbe.
(5) Dajalec kredita ali kreditni posrednik mora potrošniku na njegovo zahtevo zagotoviti tudi brezplačen izvod osnutka kreditne pogodbe, ki vsebuje pogodbene informacije iz 10. člena tega zakona, razen če nima namena skleniti kreditne pogodbe s potrošnikom.
(6) Obliko in vsebino obrazcev za predhodne informacije o kreditu, podrobnejšo vsebino in obseg predhodnih informacij, dodaten pouk in opozorila glede na vrste in način sklepanja kreditnih pogodb ter način podajanja informacij predpiše minister, pristojen za gospodarstvo.
7. člen
(izjeme od obveznosti zagotavljanja predhodnih informacij)
Določbe prejšnjega člena se ne uporabljajo za ponudnika blaga ali storitev, ki nastopa kot kreditni posrednik v pomožni funkciji. V tem primeru dajalec kredita zagotovi, da potrošnik prejme predhodne informacije v skladu s tem zakonom.
8. člen
(obveznost ocene kreditne sposobnosti potrošnika)
(1) Dajalec kredita mora pred sklenitvijo kreditne pogodbe oceniti kreditno sposobnost potrošnika.
(2) Dajalec kredita oceni kreditno sposobnost potrošnika na podlagi informacij o njegovih prejemkih oziroma njegovem premoženjskem stanju, ki jih pridobi od potrošnika. Informacijo o zadolženosti potrošnika dajalec kredita pridobi iz zbirk osebnih podatkov, ki se vodijo na podlagi zakona, ki ureja bančništvo, in do katerih ima lahko dostop v skladu z zakonom, ki ureja varstvo osebnih podatkov.
(3) Če se po sklenitvi kreditne pogodbe potrošnik in dajalec kredita dogovorita o spremembi skupnega zneska kredita, mora dajalec kredita ponovno oceniti kreditno sposobnost potrošnika, kadar se skupni znesek kredita zviša za več kot petino prvotno odobrenega zneska kredita.
9. člen
(dostop do zbirk osebnih podatkov)
(1) Dajalci kreditov, ki niso vključeni v sistem izmenjave informacij o boniteti strank po zakonu, ki ureja bančništvo, so za pridobitev informacije o zadolženosti potrošnika upravičeni obdelovati podatke o:
1. zamudi pri izpolnitvi posamezne obveznosti nad 90 dni;
2. začetku postopka prisilne izterjave;
3. blokiranem plačilnem računu zaradi zamude pri izpolnitvi obveznosti in o deblokadi.
(2) Dajalec kredita lahko obdeluje podatke iz prejšnjega odstavka za zadnjih 12 mesecev pred datumom zahteve za poizvedbo o teh podatkih.
(3) Dajalci kreditov s sedežem v drugi državi članici Evropske unije imajo dostop do podatkov iz prvega odstavka tega člena pod enakimi pogoji kot dajalci kreditov, ki imajo sedež v Republiki Sloveniji.
(4) Če dajalec kredita na podlagi poizvedbe v zbirki osebnih podatkov zavrne vlogo potrošnika za kredit, ga mora nemudoma in brezplačno na papirju ali drugem trajnem nosilcu podatkov obvestiti o pridobljenih informacijah iz zbirk osebnih podatkov, razen če poseben zakon določa drugače.
IV. OBVEZNOSTI IN PRAVICE V ZVEZI S KREDITNO POGODBO
10. člen
(obvezna vsebina in hramba kreditne pogodbe)
(1) Kreditna pogodba mora biti sklenjena pisno na papirju ali drugem trajnem nosilcu podatkov. Vse pogodbene stranke prejmejo izvod kreditne pogodbe brezplačno.
(2) Dajalec kredita mora ves čas trajanja kreditne pogodbe hraniti izvod sklenjene kreditne pogodbe na papirju ali drugem trajnem nosilcu podatkov v poslovnih prostorih dajalca kredita, v katerih se sklepajo kreditne pogodbe.
(3) Kreditna pogodba mora vsebovati te informacije:
1. vrsto potrošniškega kredita (npr. hipotekarni kredit, finančni najem (lizing), odlog plačila, gotovinsko posojilo, prekoračitev na plačilnem računu);
2. firmo ali ime in sedež ali naslov dajalca kredita in kreditnega posrednika, če se pogodba sklepa s pomočjo kreditnega posrednika;
3. skupni znesek kredita in pogoje črpanja;
4. obdobje trajanja kreditne pogodbe;
5. blago ali storitev in njeno vrednost, če gre za kredit v obliki odloga plačila ali za povezano kreditno pogodbo;
6. kreditno obrestno mero in pogoje za njeno uporabo, in če obstaja, indeks ali referenčno obrestno mero, če se uporablja za začetno kreditno obrestno mero, obdobja, pogoje in postopke za spreminjanje kreditne obrestne mere. Kadar se v različnih okoliščinah uporabljajo različne kreditne obrestne mere, se informacije navedejo za vsako od njih;
7. efektivno obrestno mero in skupni znesek, ki ga mora plačati potrošnik in je izračunan ob sklenitvi kreditne pogodbe, z navedbo vseh predpostavk za izračun obresti;
8. znesek, število in pogostnost plačil, vrstni red dodelitve plačil za različne zneske, ki jih dolguje potrošnik in so zaračunani po različnih kreditnih obrestnih merah, ter podatek o obročnem ali anuitetnem odplačevanju kredita;
9. pravico potrošnika, da pri kreditni pogodbi z dogovorjenim postopnim odplačevanjem glavnice, sklenjeni za določen čas, na njegovo zahtevo brezplačno med trajanjem kreditne pogodbe pridobi izračun stanja kredita v obliki amortizacijskega načrta, ki prikazuje dolgovane zneske in obdobja ter pogoje v zvezi s plačilom teh zneskov, razčlenitev vsakega odplačila s prikazom odplačila glavnice in obresti, izračunane na podlagi kreditne obrestne mere, ter morebitne dodatne stroške. Če obrestna mera ali dodatni stroški niso fiksni, mora načrt vsebovati navedbo o veljavnosti podatkov v načrtu do naslednje spremembe kreditne obrestne mere ali dodatnih stroškov v skladu s kreditno pogodbo;
10. stroške vodenja enega ali več računov za izvajanje plačilnih transakcij in črpanj, razen če odprtje računa ni obvezno, stroške uporabe plačilnih sredstev za plačila in črpanja ter druge stroške, ki izhajajo iz kreditne pogodbe, in pogoje, pod katerimi se lahko ti stroški spremenijo;
11. stroške notarskih storitev, če obstajajo;
12. zamudno obrestno mero z navedbo pravila za njeno prilagoditev in morebitne stroške pri zamudi ter opozorilo o posledicah neplačanih dospelih plačil;
13. pravico potrošnika do predčasnega odplačila kredita in pravico dajalca kredita do nadomestila ter način določitve tega nadomestila;
14. izpisek, ki prikazuje obdobja in pogoje za plačilo obresti ter periodičnih in neperiodičnih stroškov, če se stroški in obresti plačujejo brez odplačila glavnice;
15. zavarovanja, če obstajajo;
16. obstoj oziroma neobstoj pravice potrošnika do odstopa od pogodbe, obdobje trajanja in druge pogoje za njeno uveljavljanje, vključno z informacijami o obveznosti potrošnika do plačila črpane glavnice in obresti v skladu s tretjim odstavkom 17. člena tega zakona in zneskom dnevnih obresti;
17. pravice potrošnika pri odstopu od povezane kreditne pogodbe in pogoje za njihovo uveljavljanje v skladu z 18. členom tega zakona;
18. pravico potrošnika do razdora in odpovedi kreditne pogodbe ter informacije o postopkih za uveljavljanje te pravice;
19. obstoj oziroma neobstoj zunajsodnih postopkov za reševanje pritožb potrošnikov in drugih pravnih sredstev ter pouk o možnostih njihovega uveljavljanja;
20. ime in naslov nadzornega organa, pristojnega za nadzor nad dajalci kreditov in kreditnimi posredniki;
21. pri kreditnih pogodbah, pri katerih je obračun povezan z uporabo tuje valute, navedbo tuje valute in vrsto tečaja, po katerem se izračunava vrednost v domači valuti, z opozorilom, da se ob spremembi tečaja lahko spremenijo tudi predvideni zneski posameznih plačil;
22. druga pogodbena določila in pogoje.
(4) Potrošniku ni treba plačati stroškov, ki v kreditni pogodbi niso navedeni ali so navedeni nepopolno.
(5) Pri kreditnih pogodbah, pri katerih odplačila, ki jih opravi potrošnik, ne zagotavljajo takojšnjega ustreznega zmanjšanja skupnega zneska kredita, temveč se uporabijo za naložbe pod pogoji, določenimi v kreditni ali pomožni pogodbi, morajo informacije iz tretjega odstavka tega člena vsebovati tudi izjavo, da kreditna pogodba ne zagotavlja jamstva tretje osebe za odplačilo celotnega zneska črpanega kredita po kreditni pogodbi, razen če je bilo tako jamstvo predloženo.
(6) Potrošniška hipotekarna kreditna pogodba mora biti sklenjena v obliki notarskega zapisa. Pri sklenitvi notarskega zapisa mora biti osebno navzoč lastnik nepremičnine, na kateri se ustanavlja hipoteka ali zemljiški dolg, če je lastnik nepremičnine potrošnik. Notar mora lastnika nepremičnine poučiti o pravnih posledicah kreditne pogodbe in njenega zavarovanja ter pravnih posledicah neplačila. Lastnik nepremičnine mora na notarskem zapisu s podpisom potrditi, da je prejel notarjev pouk v skladu s tem odstavkom.
11. člen
(spremembe kreditne obrestne mere in stroškov)
(1) Če je dogovorjena spremenljiva obrestna mera za celotno ali posamezno obdobje trajanja kreditne pogodbe, mora dajalec kredita pisno na papirju ali drugem trajnem nosilcu podatkov potrošnika brezplačno obvestiti o spremembi kreditne obrestne mere pred začetkom veljavnosti spremembe. V obvestilu se navedejo znesek odplačil od začetka veljavnosti nove kreditne obrestne mere ter morebitne spremembe števila in pogostnosti odplačil.
(2) Ne glede na prejšnji odstavek se obvestilo o spremembi kreditne obrestne mere potrošniku pošilja periodično, če je sprememba posledica spremembe referenčne obrestne mere, nova referenčna obrestna mera pa je javno objavljena in dostopna v poslovnih prostorih dajalca kredita, v katerih se sklepajo kreditne pogodbe.
(3) Če v kreditni pogodbi ni navedeno, pod katerimi pogoji se obrestne mere ali stroški lahko spremenijo, jih dajalec kredita ne sme spreminjati v škodo potrošnika.
12. člen
(informacije pri dovoljeni možnosti prekoračitve)
(1) Pri kreditni pogodbi z možnostjo prekoračitve stanja na plačilnem računu mora pogodba vsebovati te informacije:
1. vrsto potrošniškega kredita;
2. firmo ali ime in sedež ali naslov dajalca kredita;
3. skupni znesek kredita;
4. obdobje trajanja kreditne pogodbe;
5. kreditno obrestno mero in pogoje, ki urejajo uporabo kreditne obrestne mere, ter če obstaja, indeks ali referenčno obrestno mero, ki se uporablja za začetno kreditno obrestno mero;
6. obdobja in pogoje, pod katerimi se kreditna obrestna mera spremeni; kadar se v različnih okoliščinah uporabljajo različne kreditne obrestne mere, se informacije navedejo za vsako od njih;
7. efektivno obrestno mero in skupne stroške, ki jih mora plačati potrošnik, izračunane ob sklenitvi kreditne pogodbe, pri čemer se navedejo tudi vse predpostavke, uporabljene za izračun v skladu z drugim odstavkom 22. člena tega zakona;
8. opozorilo, da dajalec kredita lahko kadar koli zahteva odplačilo celotnega zneska kredita;
9. stroške, ki nastanejo s sklenitvijo kreditne pogodbe, in pogoje, pod katerimi se lahko stroški spremenijo.
(2) Dajalec kredita mora potrošniku na izpisku o stanju na plačilnem računu na papirju ali drugem trajnem nosilcu podatkov redno sporočati te informacije:
1. obdobje, na katero se nanaša izpisek o stanju na plačilnem računu;
2. zneske in datume črpanj;
3. stanje in datum prejšnjega izpiska o stanju na plačilnem računu;
4. novo stanje;
5. datume in zneske opravljenih plačil potrošnika;
6. uporabljeno kreditno obrestno mero;
7. nastale stroške;
8. najmanjši znesek, ki ga mora plačati potrošnik.
(3) Dajalec kredita mora potrošnika obvestiti tudi o povišanju kreditne obrestne mere ali drugih plačljivih stroškov v skladu s prvim in drugim odstavkom prejšnjega člena.
13. člen
(molče dovoljena prekoračitev)
(1) Pri molče dovoljeni prekoračitvi stanja na plačilnem računu mora dajalec kredita v pogodbi o plačilnem računu navesti vsaj kreditno obrestno mero in pogoje, pod katerimi se uporablja, indeks ali referenčno obrestno mero, če obstaja, vse stroške, ki nastanejo od trenutka prekoračitve, ter pogoje, pod katerimi se ti stroški lahko spremenijo. Dajalec kredita mora te informacije potrošniku redno zagotavljati pisno na papirju ali drugem trajnem nosilcu podatkov.
(2) Ob prekoračitvi stanja na plačilnem računu potrošnika, ki traja več kot mesec dni, mora dajalec kredita potrošnika nemudoma obvestiti na papirju ali drugem trajnem nosilcu podatkov o prekoračitvi, višini prekoračenega zneska, kreditni obrestni meri, morebitnih pogodbenih kaznih, stroških in zamudnih obrestih.
(3) Če dajalec kredita ravna v nasprotju s tem členom, potrošniku ni treba dajalcu kredita plačati stroškov ali obresti.
V. RAZDOR, ODPOVED, ODSTOP, PREDČASNO ODPLAČILO IN PRENOS PRAVIC
14. člen
(razdor kreditne pogodbe, kadar jo razdre potrošnik)
(1) Če kreditna pogodba ni sklenjena v skladu s prvim, tretjim, petim in šestim odstavkom 10. člena ali prvim odstavkom 12. člena tega zakona, jo lahko potrošnik z enostransko izjavo razdre.
(2) Če potrošnik v enem mesecu od plačila prve obveznosti po pogodbi ne izjavi, da razdira pogodbo v skladu s prejšnjim odstavkom, se šteje, da pri kreditni pogodbi vztraja.
(3) Pri razdoru kreditne pogodbe mora dajalec kredita potrošniku vrniti vse plačane zneske v osmih dneh od prejema izjave potrošnika. Če je potrošnik že črpal kredit, mora dajalcu kredita v istem roku vrniti črpan kredit, če mu je izjavo izročil neposredno, oziroma v desetih dneh od oddaje izjave, če je izjavo poslal po elektronski ali priporočeni pošti. Potrošniku ni treba plačati obresti oziroma drugih stroškov ali dajatev, povezanih z odobrenim ali črpanim kreditom.
15. člen
(razdor kreditne pogodbe, kadar jo razdre dajalec kredita)
(1) Dajalec kredita lahko zahteva plačilo preostalih odplačil pred njihovo zapadlostjo ali z enostransko izjavo razdre pogodbo, če je potrošnik v zamudi s plačilom začetnega ali dveh zaporednih odplačil.
(2) Pred izjavo o razdoru pogodbe mora dajalec kredita potrošniku na papirju ali drugem trajnem nosilcu podatkov določiti primeren dodatni rok za plačilo zapadlih obveznosti, ki ne sme biti krajši od 15 dni.
(3) Dajalec kredita lahko razdre pogodbo, če potrošnik ne plača zapadlih obveznosti v dodatnem roku iz prejšnjega odstavka.
(4) Če dajalec kredita zahteva plačilo preostalih odplačil pred njihovo zapadlostjo ali z enostransko izjavo razdre pogodbo, se obveznost plačila določi v skladu s prvim odstavkom 19. člena tega zakona.
(5) Potrošnik mora za zapadle kreditne obveznosti za čas od nastanka zamude do dneva plačila plačati dajalcu kredita zamudne obresti, obračunane po predpisani obrestni meri zamudnih obresti.
16. člen
(odpoved in prekinitev kreditne pogodbe za nedoločen čas)
(1) Potrošnik lahko kadar koli in brezplačno odpove kreditno pogodbo, katere trajanje ni določeno, razen če sta se potrošnik in dajalec kredita v pogodbi dogovorila o odpovednem roku, ki ne sme biti daljši od enega meseca.
(2) Dajalec kredita lahko odpove kreditno pogodbo, katere trajanje ni določeno, če sta se potrošnik in dajalec kredita o tem izrecno dogovorila v pogodbi z najmanj dvomesečnim odpovednim rokom, tako da potrošniku pošlje obvestilo pisno na papirju ali drugem trajnem nosilcu podatkov.
(3) Dajalec kredita lahko iz utemeljenih razlogov potrošniku začasno prekine črpanje kredita, če sta se v kreditni pogodbi, katere trajanje ni določeno, o tem izrecno dogovorila. O odvzemu pravice do nadaljnjega črpanja kredita mora dajalec kredita potrošnika obvestiti pisno na papirju ali drugem trajnem nosilcu podatkov pred prekinitvijo črpanja ali najpozneje takoj po njem, razen če drug zakon določa drugače.
17. člen
(pravica do odstopa od kreditne pogodbe brez navedbe razloga)
(1) Potrošnik lahko odstopi od kreditne pogodbe brez navedbe razloga tudi, kadar je kredit že črpal, v 14 dneh od dneva sklenitve kreditne pogodbe oziroma od dneva, ko prejme informacije iz tretjega in petega odstavka 10. člena tega zakona, če je ta dan poznejši kot dan sklenitve kreditne pogodbe. Pri povezani kreditni pogodbi se lahko rok za odstop od pogodbe na izrecno zahtevo potrošnika skrajša na tri dni.
(2) Potrošnik uveljavlja pravico do odstopa od pogodbe z obvestilom pisno na papirju ali drugem trajnem nosilcu podatkov, ki ga pošlje dajalcu kredita v rokih iz prejšnjega odstavka.
(3) Če potrošnik uveljavlja pravico do odstopa od pogodbe po črpanju kredita, mora dajalcu kredita plačati glavnico in obresti, obračunane na to glavnico, od dneva, ko je bil kredit črpan, do dneva, ko je glavnica odplačana, brez nepotrebnega odlašanja ali najpozneje v 30 dneh od dneva, ko je dajalcu kredita poslal obvestilo o odstopu. Obresti črpanega dela kredita se izračunajo na podlagi dogovorjene kreditne obrestne mere.
(4) Če potrošnik odstopi od pogodbe, mu dajalec kredita ne sme zaračunati nobenih drugih stroškov, razen morebitnih nepovratnih stroškov, ki jih je dajalec kredita plačal v postopku pred sodišči, upravnimi organi ali osebami z javnim pooblastilom.
(5) Če dajalec kredita ali tretja oseba na podlagi dogovora med tretjo osebo in dajalcem kredita opravi pomožno storitev, ki je povezana s kreditno pogodbo, pogodba o pomožni storitvi potrošnika preneha zavezovati, če odstopi od kreditne pogodbe.
(6) Če ima potrošnik pravico do odstopa od pogodbe po tem zakonu, se ne glede na 43.č, 43.d člen in prvi odstavek 46.c člena Zakona o varstvu potrošnikov (Uradni list RS, št. 98/04 - uradno prečiščeno besedilo, 126/07 in 86/09) ter 111. člen Obligacijskega zakonika (Uradni list RS, št. 97/07 - uradno prečiščeno besedilo) za odstop od kreditne pogodbe uporablja ta zakon.
18. člen
(odstop od povezane kreditne pogodbe)
(1) Povezana kreditna pogodba preneha veljati z dnem, ko potrošnik uveljavi pravico do odstopa od pogodbe o prodaji blaga ali opravljanju storitev v skladu z zakonom, ki ureja varstvo potrošnikov.
(2) Potrošnik lahko proti dajalcu kredita ugovarja zavrnitvi plačila in uveljavlja druge ugovore, ki izvirajo iz pogodbe o prodaji blaga ali opravljanju storitev, če se blago ali storitve ne zagotovijo, se zagotovijo le delno ali niso v skladu s pogodbo o prodaji blaga ali opravljanju storitev, če sta ta pogodba in kreditna pogodba med seboj povezani.
(3) Ugovore iz prejšnjega odstavka lahko potrošnik uveljavlja proti dajalcu kredita samo, če jih je pred tem uveljavljal proti prodajalcu blaga ali izvajalcu storitve.
19. člen
(predčasno odplačilo)
(1) Potrošnik ima pravico, da kadar koli v celoti ali delno izpolni svoje obveznosti po kreditni pogodbi. V tem primeru je upravičen do zmanjšanja skupnih stroškov kredita v delu, ki ga sestavljajo obresti in stroški preostalega obdobja trajanja pogodbe, tako da se od zneska sedanje vrednosti obveznosti predčasnega plačila (diskontirane) kredita odšteje sedanja vrednost (valorizirana) pogodbenih obresti, vključno z morebitnimi stroški, ki bi tekle od dneva predčasnega plačila do dneva zapadlosti plačila po pogodbi, če so bili pogodbene obresti in stroški za to obdobje že obračunani in zajeti v plačila, ki jih je plačal potrošnik. Dajalec kredita mora potrošniku na razumljiv način predstaviti zmanjšanje obresti in drugih stroškov, ki bi nastalo s celotnim ali delnim predčasnim odplačilom kredita. Dogovorjena določila o obrestni meri se ne smejo spremeniti v škodo potrošnika.
(2) Pri predčasnem odplačilu kredita je dajalec kredita upravičen do pravičnega nadomestila morebitnih stroškov, ki so neposredno povezani s predčasnim odplačilom kredita, če se predčasno odplačilo izvede za obdobje, za katero je bila določena fiksna kreditna obrestna mera.
(3) Nadomestilo ne sme presegati 1% zneska predčasno odplačane glavnice, če potrošnik predčasno odplača kredit več kot eno leto pred končno dospelostjo kreditne pogodbe. Če je do končne dospelosti kreditne pogodbe eno leto ali manj kot eno leto, nadomestilo ne sme presegati 0,5% zneska predčasno odplačane glavnice.
(4) Nadomestilo lahko dajalec kredita zahteva pod pogojem, da vsota predčasnih odplačil v 12 mesecih presega 10.000 eurov.
(5) Nadomestila za predčasno odplačilo dajalec kredita ne sme zahtevati, če:
1. se je odplačilo opravilo po zavarovalni pogodbi, ki zagotavlja jamstvo za odplačilo kredita;
2. gre za kreditne pogodbe z dovoljeno prekoračitvijo stanja na plačilnem računu;
3. se predčasno odplačilo opravi v obdobju, za katero ni določena fiksna kreditna obrestna mera;
4. so v pogodbi nepopolne informacije o trajanju kreditne pogodbe, pravici do odstopa od pogodbe brez navedbe razloga ali izračunu nadomestila za predčasno odplačilo.
(6) Nadomestilo za predčasno odplačilo ne sme presegati zneska obresti, ki bi jih potrošnik plačal v obdobju med predčasnim odplačilom in dogovorjenim datumom prenehanja trajanja kreditne pogodbe.
20. člen
(odstop terjatev)
(1) Pri odstopu terjatev iz kreditnih pogodb po tem zakonu tretji osebi, prevzemniku, je potrošnik zoper njega upravičen uveljavljati vse pravice in ugovore, ki jih ima zoper prvotnega dajalca kredita, vključno s pobotom.
(2) Pogodbe o odstopu terjatev iz kreditnih pogodb iz prejšnjega odstavka, ki bi zmanjševale pravice potrošnika iz prejšnjega odstavka, so nične.
(3) Dajalec kredita ne sme odstopiti terjatev tretji osebi, prevzemniku, razen če je prevzemnik dajalec kreditov in izpolnjuje vse pogoje po tem zakonu.
(4) Prepoved iz prejšnjega odstavka ne velja za dajalce kreditov, ki pridobijo dovoljenje za opravljanje bančnih storitev na podlagi zakona, ki ureja bančništvo.
(5) Odstopnik terjatve mora o odstopu terjatve potrošnika obvestiti pisno na papirju ali drugem trajnem nosilcu podatkov, razen če dajalec kredita v dogovoru s prevzemnikom še naprej opravlja storitev iz tega kredita v imenu prevzemnika in za njegov račun.
(6) Dajalec kredita mora pri odstopu terjatev ves čas trajanja kreditne pogodbe hraniti vsaj kopijo sklenjene kreditne pogodbe.
21. člen
(omejitve pri zavarovanju)
(1) V zvezi s kreditnimi pogodbami je prepovedano zavarovanje plačil, ki potrošnika zavezuje k izdaji ali sprejemu bianko menice ali čeka ali drugega plačilnega instrumenta, ki ima po svoji naravi podobne učinke.
(2) Potrošnik lahko od dajalca kredita zahteva vrnitev katerega koli plačilnega instrumenta iz prejšnjega odstavka, ki mu ga je izročil zaradi zavarovanja plačil.
(3) Dajalec kredita mora potrošniku povrniti vso škodo, ki je posledica uporabe instrumenta zavarovanja plačil iz prvega odstavka tega člena.
VI. EFEKTIVNA OBRESTNA MERA
22. člen
(predpostavke za izračun)
(1) Efektivna obrestna mera, ki na letni ravni izraža vpliv, ki ga imajo na skupno ceno denarja vsa obstoječa ali prihodnja upravičenja in obveznosti (črpanj, odplačil in stroškov), o katerih sta se dajalec kredita in potrošnik dogovorila, se izračuna tako, kot je določeno v 23. členu tega zakona.
(2) Za izračun efektivne obrestne mere se upoštevajo skupni stroški kredita za potrošnika, razen dajatev in stroškov, ki jih mora potrošnik plačati pri nakupu blaga ali storitev ne glede na to, ali gre za kreditno ali gotovinsko transakcijo, ter stroškov, ki jih potrošnik plača zaradi neizpolnjevanja obveznosti iz kreditne pogodbe. Stroški vodenja računa, na katerem se evidentirajo plačilne transakcije in črpanja, stroški uporabe plačilnih sredstev za plačilne transakcije in črpanja ter drugi stroški v zvezi s plačilnimi transakcijami se vključijo v skupne stroške kredita potrošniku, razen če odprtje računa ni obvezno in so stroški računa ločeno prikazani v kreditni pogodbi ali drugi pogodbi, sklenjeni s potrošnikom.
(3) Efektivna obrestna mera se izračuna glede na dogovorjeno časovno obdobje kreditne pogodbe ter glede na pogoje in roke za izpolnitev obveznosti dajalca kredita in potrošnika, kot so navedeni v kreditni pogodbi.
(4) Pri kreditnih pogodbah, v katerih se dovoljuje sprememba kreditne obrestne mere in morebitnih drugih stroškov, ki so zajeti v efektivni obrestni meri in katerih dinamiko v trenutku izračuna ni mogoče natančno predvideti, se efektivna obrestna mera izračuna ob predpostavki, da kreditna obrestna mera in stroški, ki vplivajo na efektivno obrestno mero, ostanejo enaki začetni višini in se uporabljajo do poteka veljavnosti kreditne pogodbe.
(5) Pri izračunu efektivne obrestne mere se upoštevajo tudi dodatne predpostavke v skladu s tretjim odstavkom 24. člena tega zakona.
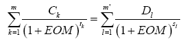
23. člen
(način izračuna)
(1) Efektivna obrestna mera se izračuna kot letna diskontna stopnja, ki izenači sedanjo vrednost vseh črpanj kredita s sedanjo vrednostjo vseh odplačil in stroškov na podlagi enačbe:
pri čemer je:
EOM = efektivna obrestna mera;
m = zaporedna številka zadnjega črpanja oziroma število vseh črpanj, tranš, če se kredit črpa postopoma; drugače je m = 1;
k = zaporedna številka črpanja, pri čemer je 1 < / = k < / = m;
C(k) = znesek k-tega črpanja;
t(k) = trajanje časovnega presledka, izraženo v letih ali delih leta, med datumom prvega črpanja in datumom vsakega posameznega naslednjega črpanja, pri čemer je t(1) = 0;
m’ = zaporedna številka zadnjega plačila kredita, obresti ali stroškov oziroma skupno število vseh plačil;
l = zaporedna številka plačila kredita, obresti ali stroškov;
D(l) = znesek posameznega plačila kredita, obresti ali stroškov;
s(l) = trajanje časovnega presledka, izraženo v letih ali delih leta, med datumom prvega črpanja in datumom vsakega posameznega plačila kredita, obresti ali stroškov;
vsota (sigma) = vsota.
(2) Pri izračunu efektivne obrestne mere v skladu s prejšnjim odstavkom se upošteva naslednje:
1. zneski, ki jih plačata stranki ob različnih časih, so lahko različni in se lahko plačajo v različnih časovnih presledkih;
2. začetni datum je datum prvega črpanja;
3. časovni presledki med datumi, ki se uporabljajo pri izračunu, se izrazijo v letih oziroma delih leta. Šteje se, da ima leto 365 dni (ali 366 v prestopnih letih) - sistem (K, 365/366). Če je to povezano z naravo posla ali če ni natančnih podatkov o dospevanju plačil, se šteje, da ima leto 52 enakih tednov ali 12 enakih mesecev. Šteje se, da ima enak mesec 30,41666 dneva (tj. 365/12) ne glede na to, ali je leto prestopno ali ne;
4. rezultat se zapiše z natančnostjo vsaj dveh decimalk v odstotnem zapisu, pri čemer se zaokroženje opravi po matematičnih pravilih (če je prva neizpisana vrednost 5 ali več, se zadnja ohranjena vrednost zaokroži navzgor);
5. enačba iz prejšnjega odstavka se z uvedbo enotnega simbola P(i) za pozitivni ali negativni denarni tok, ki nastopi kot posledica i-tega od skupaj N = m + m' poslovnih dogodkov (na primer črpanj (dela) kredita, plačil stroškov ali anuitet), lahko preoblikuje v:
Efektivna obrestna mera je tako letna diskontna stopnja, ki povzroči, da je sedanja vrednost vseh upoštevanih pozitivnih in negativnih denarnih tokov danega kreditnega posla enaka nič (0).
(3) Dajalec kredita mora pri izračunu efektivne obrestne mere upoštevati naslednje dodatne predpostavke:
1. če daje kreditna pogodba potrošniku možnost prostega črpanja, se šteje, da je znesek kredita črpan takoj in v celoti;
2. če kreditna pogodba predvideva črpanja z različnimi stroški ali kreditnimi obrestnimi merami, se šteje, da je celotni znesek kredita črpan po najvišji kreditni obrestni meri in najvišjih stroških, ki jih predvideva pogodba;
3. če daje kreditna pogodba potrošniku možnost prostega črpanja odobrenega zneska kredita v določenem obdobju, se za izračun efektivne obrestne mere šteje, da bo celoten znesek črpan na prvi dan tega obdobja. Če sta se pogodbeni stranki dogovorili za natančno dinamiko črpanja kredita v več delih, se tudi pri izračunu efektivne obrestne mere upošteva tako določena dinamika črpanja;
4. če časovni načrt odplačevanja kredita ni določen, se šteje, da traja odplačilna doba kredita eno leto in da ga je treba odplačati v 12 enakih mesečnih anuitetah;
5. če je časovni načrt odplačevanja kredita določen, vendar lahko potrošnik sam določi višino posameznih zneskov odplačil, se šteje, da znesek vsakega odplačila ustreza najnižjemu znesku, ki ga pogodba določa;
6. če kreditna pogodba določa več kot en rok črpanja ali odplačila kredita, se šteje, da sta črpanje in odplačilo kredita izvedeni ob prvem roku, ki je določen v kreditni pogodbi;
7. če v kreditni pogodbi ni dogovorjen skupni znesek kredita, se šteje, da odobreni znesek kredita znaša 500 eurov;
8. pri kreditni pogodbi z dovoljeno prekoračitvijo stanja na plačilnem računu potrošnika se šteje, da je celoten znesek kredita črpan za celotno obdobje trajanja kreditne pogodbe. Pri kreditni pogodbi, katere trajanje ni določeno, se šteje, da je kreditna pogodba sklenjena za tri mesece;
9. če dajalec kredita ponudi različne obrestne mere in stroške za določeno obdobje ali znesek, se upoštevajo najvišja obrestna mera in najvišji stroški v celotnem obdobju trajanja kreditne pogodbe;
10. če je v kreditni pogodbi v začetnem obdobju dogovorjena fiksna kreditna obrestna mera in se ob izteku obdobja fiksne kreditne obrestne mere določi nova spremenljiva kreditna obrestna mera, ki se periodično prilagaja v skladu z dogovorjenim indeksom ali referenčno obrestno mero, se šteje, da je ob izteku obdobja fiksne kreditne obrestne mere kreditna obrestna mera enaka tisti, ki se izračuna iz vrednosti dogovorjenega indeksa ali referenčne obrestne mere ob izračunu efektivne obrestne mere.
24. člen
(najvišja dopustna efektivna obrestna mera)
(1) Če je dajalec kredita oseba, ki ni banka ali hranilnica po zakonu, ki ureja bančništvo, lahko znaša efektivna obrestna mera na dan sklenitve pogodbe največ 200% zadnje povprečne efektivne obrestne mere, ki jo v skladu z zakonom, ki ureja bančništvo, za potrošniške kredite uporabljajo banke in hranilnice in jo za kreditni razred, v katerega po merilih tretjega in četrtega odstavka tega člena spada kredit, objavi Banka Slovenije.
(2) Če je v kreditni pogodbi določena višja efektivna obrestna mera od 200% povprečne efektivne obrestne mere, določene v prejšnjem odstavku, se šteje, da je bila med potrošnikom in dajalcem kreditov dogovorjena efektivna obrestna mera, ki znaša 200% povprečne efektivne obrestne mere bank in hranilnic za potrošniške kredite.
(3) Povprečne efektivne obrestne mere bank in hranilnic za potrošniške kredite objavlja Banka Slovenije dvakrat letno v Uradnem listu Republike Slovenije za naslednje ročnosti in zneske:
- dva meseca, 200 eurov (I. razred);
- štiri mesece, 500 eurov (II. razred);
- šest mesecev, 1000 eurov (III. razred);
- 12 mesecev, 2000 eurov (IV. razred);
- 36 mesecev, 4000 eurov (V. razred);
- deset let, 20.000 eurov (VI. razred).
(4) Kredit, ki se ne uvršča v nobeno od kombinacij ročnosti in zneska iz prejšnjega odstavka, se razvrsti v tisti razred, v katerem njegova ročnost in njegov znesek ne presežeta zgornje mejne vrednosti za ta razred.
VII. POSREDOVANJE POTROŠNIŠKIH KREDITOV
25. člen
(obveznosti kreditnega posrednika)
(1) Kreditni posrednik mora imeti z dajalcem kreditov sklenjeno pogodbo o posredovanju.
(2) Kreditni posrednik mora pri oglaševanju in v dokumentaciji, ki je namenjena potrošniku, navesti obseg svojih pooblastil z navedbo, ali sodeluje z enim ali več dajalci kreditov.
(3) Potrošnik v razmerju do kreditnega posrednika nima nobene obveznosti za plačilo storitev posredovanja. Kreditni posrednik sporoči stroške posredovanja dajalcu kredita, ki jih vključi v izračun efektivne obrestne mere.
26. člen
(pogoji za kreditne posrednike)
(1) Kreditni posredniki morajo izpolnjevati pogoje, ki jih za opravljanje njihove dejavnosti s sklepom predpiše Banka Slovenije, če gre za kreditne posrednike bank in hranilnic, in s pravilnikom minister, pristojen za gospodarstvo, če gre za kreditne posrednike drugih dajalcev kreditov.
(2) S pravilnikom iz prejšnjega odstavka se predpišejo zlasti:
1. pridobitev in izkazovanje statusa kreditnega posrednika;
2. pooblastila kreditnega posrednika v razmerju do dajalca kredita in potrošnika;
3. odgovornost dajalca kredita in kreditnega posrednika pri prekoračitvi pooblastil kreditnega posrednika ali povzročeni škodi potrošniku;
4. obveznost vodenja evidenc o kreditnih posrednikih in poslih, sklenjenih s posredovanjem;
5. obveznost poročanja o kreditnih posrednikih in poslih, sklenjenih s posredovanjem.
VIII. OBVEZNA NARAVA DOLOČB TEGA ZAKONA
27. člen
(ničnost pogodbe oziroma pogodbenega določila)
(1) Nično je vsako pogodbeno določilo, ki je v nasprotju s tem zakonom in je v škodo potrošnika.
(2) Določbe tega zakona se neposredno uporabljajo, če so določila kreditne pogodbe nejasna, nepopolna ali v nasprotju s tem zakonom in v škodo potrošnika.
(3) Kreditna pogodba, ki jo dajalec kredita sklene brez dovoljenja urada, pristojnega za varstvo potrošnikov, je nična, pri čemer je dajalec kredita upravičen samo do vračila že črpanega dela skupnega zneska kredita.
28. člen
(preprečevanje izogibanja določbam zakona)
(1) Vključevanje kreditnih pogodb, ki spadajo v področje uporabe tega zakona, v pogodbe, katerih značilnosti ali namen bi lahko omogočili izogibanje njegovi uporabi, ni dovoljeno.
(2) Več pogodb istega dajalca kredita, ki z ekonomskega vidika sestavljajo celoto, zlasti v primeru porazdelitve zneska kredita na več pogodb ali sklenitve več zaporednih pogodb, se v smislu tega zakona štejejo kot ena pogodba.
(3) Pogodbeno razmerje, pri katerem je potrošnik prodajalec in kupec oziroma najemojemalec po pogodbi o finančnem najemu (lizing) iste stvari, se šteje za kreditno pogodbo po tem zakonu.
(4) Stvari, ki jih je dajalec kreditov oziroma najemodajalec po pogodbi o finančnem najemu (lizing) pridobil pri pravnih poslih iz prejšnjega odstavka in pri katerih ima že sklenjeno obveznost odtujitve stvari istemu potrošniku, ne sme obremeniti s stvarnimi pravicami drugih.
(5) Kadar se omejitev iz prejšnjega odstavka nanaša na nepremičnino, mora dajalec kredita oziroma najemodajalec pri finančnem najemu (lizing) na tej nepremičnini vpisati pravico prepovedi obremenitve ali odtujitve nepremičnine v korist kupca oziroma najemojemalca po pogodbi o finančnem najemu (lizing).
IX. DAJALEC KREDITOV
29. člen
(dovoljenje za opravljanje storitev potrošniškega kreditiranja)
(1) Dajalec kredita mora pred začetkom opravljanja storitev potrošniškega kreditiranja pridobiti dovoljenje za opravljanje teh storitev.
(2) Dovoljenja ne potrebujejo:
1. banke in hranilnice, ki pridobijo dovoljenje za opravljanje bančnih storitev po zakonu, ki ureja bančništvo;
2. javni stanovanjski skladi;
3. dajalci kreditov, ki dajejo kredite le svojim zaposlenim;
4. nepridobitne organizacije, ki dajejo kredite le za socialne in izobraževalne namene, pod pogojem, da gre za kredite, za katere se ta zakon ne uporablja.
30. člen
(izdaja in podaljšanje dovoljenja)
(1) Dovoljenje izda ali podaljša urad, pristojen za varstvo potrošnikov (v nadaljnjem besedilu: urad), na zahtevo vlagatelja po pravilih splošnega upravnega postopka.
(2) Urad izda ali podaljša dovoljenje, če vlagatelj zahteve za pridobitev dovoljenja izpolnjuje kadrovske, organizacijske, tehnične in druge pogoje za opravljanje storitev potrošniškega kreditiranja.
(3) Urad zavrne vlogo za izdajo ali podaljšanje dovoljenja, če:
1. vlagatelj ne izpolnjuje predpisanih kadrovskih, organizacijskih, tehničnih in drugih pogojev za opravljanje storitev potrošniškega kreditiranja;
2. je vlagatelj oseba, ki ji je bilo dovoljenje odvzeto;
3. je vlagatelj oseba, katere odgovorna oseba je bila pravnomočno obsojena za kaznivo dejanje goljufije oziroma oderuštva;
4. je bil vlagatelj ali je bila njegova odgovorna oseba kaznovana v skladu z 2., 4., 6., 7., 8., 10., 13., 14., 15., 18., 19. in 20. točko prvega odstavka 39. člena tega zakona.
(4) Urad izda dovoljenje za tri leta z možnostjo podaljšanja. Dovoljenje se podaljša za nadaljnja tri leta, če dajalec kredita izpolnjuje kadrovske, organizacijske in tehnične pogoje ter pred potekom treh let od pridobitve oziroma od zadnjega podaljšanja dovoljenja uradu ponovno predloži vsa dokazila o izpolnjevanju zahtevanih pogojev, sicer mu dovoljenje preneha veljati.
(5) Kadrovske, organizacijske, tehnične in druge pogoje, ki jih mora izpolnjevati vlagatelj, podrobneje predpiše minister, pristojen za gospodarstvo.
31. člen
(izdaja nalepke)
(1) Urad dajalcu kredita, ki je pridobil dovoljenje, izda nalepko, ki izkazuje pridobitev dovoljenja. Urad izda toliko nalepk, kot je v vlogi navedenih naslovov, ki izpolnjujejo pogoje iz drugega odstavka prejšnjega člena in na katerih se bodo sklepale kreditne pogodbe.
(2) Obliko in vsebino nalepke, pravila ravnanja z nalepko ter pravila glede pridobitve novih ali dodatnih nalepk in vračila pridobljenih nalepk predpiše minister, pristojen za gospodarstvo.
32. člen
(odvzem dovoljenja urada)
(1) Urad odvzame dovoljenje na predlog Tržnega inšpektorata Republike Slovenije (v nadaljnjem besedilu: tržni inšpektorat), če:
1. je dajalcu kreditov izdana odločba na podlagi šestega in sedmega odstavka 34. člena tega zakona;
2. dajalec kredita stori prekršek iz 20. točke prvega odstavka 39. člena tega zakona.
(2) Urad odvzame dovoljenje, če dajalec kredita tudi po prejetem pozivu k izpolnitvi obveznosti poročanja te obveznosti ne izpolni (drugi odstavek 37. člena tega zakona).
(3) Postopek odvzema dovoljenja se izvede po zakonu, ki ureja splošni upravni postopek.
(4) Ko je odločba o odvzemu dovoljenja dokončna, mora dajalec kredita, ki mu je bilo odvzeto dovoljenje, takoj odstraniti nalepko. Če je ne odstrani, jo na stroške dajalca kredita odstrani tržni inšpektorat.
33. člen
(nadzor Banke Slovenije)
Nadzor nad dajalci kreditov, ki poslujejo na podlagi dovoljenja po zakonu, ki ureja bančništvo, in nad njihovimi kreditnimi posredniki opravlja Banka Slovenije, ki je hkrati tudi prekrškovni organ.
34. člen
(nadzor tržnega inšpektorata)
(1) Nadzor nad dajalci kreditov, ki poslujejo na podlagi dovoljenja, ki ga izda urad, in nad njihovimi kreditnimi posredniki opravlja tržni inšpektorat, ki mora o ugotovljenih kršitvah obvestiti urad.
(2) Tržni inšpektor ali inšpektorica (v nadaljnjem besedilu: inšpektor) lahko pri opravljanju nadzora od dajalca kredita ali kreditnega posrednika zahteva vpogled v sklenjene pogodbe in njihove kopije. Če sklenjenih kreditnih pogodb ni v poslovnih prostorih dajalca kredita, v katerih se sklepajo, jih mora dajalec kredita inšpektorju predložiti najpozneje naslednji delovni dan po opravljenem inšpekcijskem pregledu.
(3) Pri odstopu terjatev iz kreditnih pogodb mora dajalec kredita tržnemu inšpektorju na zahtevo predložiti kopije sklenjenih kreditnih pogodb, katerih terjatve so bile odstopljene prevzemniku.
(4) Dajalec kredita mora tržnemu inšpektorju na zahtevo predložiti dokaze, da je ocenil kreditno sposobnost potrošnika. Šteje se, da je ni ocenil, če inšpektorju ne predloži dokazov najpozneje naslednji delovni dan po opravljenem inšpekcijskem pregledu.
(5) Tržni inšpektor pri nadzoru nad dajalcem kredita z odločbo prepove sklepanje kreditnih pogodb po tem zakonu do odprave pomanjkljivosti, če ugotovi, da:
1. dajalec kredita potrošniku pred sklenitvijo kreditne pogodbe ni zagotovil predhodnih informacij v skladu s 6. členom tega zakona;
2. je dajalec kredita ocenil kreditno sposobnost potrošnika na podlagi osebnih podatkov, ki jih je pridobil drugače, kot določa ta zakon (8. in 9. člen);
3. kreditna pogodba ni sklenjena pisno na papirju ali drugem trajnem nosilcu podatkov (10. člen);
4. potrošniška hipotekarna kreditna pogodba ni sklenjena v obliki notarskega zapisa (10. člen);
5. kreditna pogodba ne vsebuje predpisanih informacij iz tretjega odstavka 10. člena in prvega odstavka 12. člena tega zakona;
6. dajalec kredita potrošnika ni obvestil o spremembi kreditne obrestne mere v skladu z 11. členom tega zakona;
7. dajalec kredita pri molče dovoljeni prekoračitvi stanja na plačilnem računu potrošniku ni zagotovil predpisanih informacij v skladu s prvim in drugim odstavkom 13. člena tega zakona;
8. dajalec kredita ob razdoru kreditne pogodbe potrošniku ne vrne vseh plačanih zneskov v skladu s tretjim odstavkom 14. člena tega zakona;
9. dajalec kredita ob odstopu od pogodbe potrošniku zaračuna nadomestilo v nasprotju s četrtim odstavkom 17. člena tega zakona;
10. dajalec kredita ob predčasnem odplačilu kredita potrošniku zaračuna nadomestilo v nasprotju z 19. členom tega zakona.
(6) Tržni inšpektor dajalcu kredita z odločbo prepove sklepanje kreditnih pogodb po tem zakonu in uradu da predlog za odvzem dovoljenja, če ugotovi, da:
1. dajalec kredita ni ocenil potrošnikove kreditne sposobnosti (8. člen);
2. dajalec kredita ob sklenitvi kreditne pogodbe od potrošnika zahteva izdajo ali sprejem bianko menice ali čeka ali drugega plačilnega instrumenta, ki ima po svoji naravi podobne učinke (21. člen);
3. dajalec kredita izračunava efektivno obrestno mero ali skupne stroške kredita v nasprotju z 22. in 23. členom tega zakona;
4. s kreditno pogodbo dogovorjena efektivna obrestna mera presega najvišjo dopustno efektivno obrestno mero, kot to določa 24. člen tega zakona;
5. kreditna pogodba vsebuje pogodbeno določilo, ki je v nasprotju s tem zakonom in v škodo potrošnika (27. člen);
6. se dajalec kredita poskuša izogibati določbam zakona, kot je to opredeljeno v 28. členu tega zakona;
7. dajalec kredita v nasprotju s tem zakonom odobrava kredite brez dovoljenja (29. člen);
8. dajalec kredita inšpektorju ne predloži sklenjenih kreditnih pogodb v skladu z drugim odstavkom tega člena.
(7) Če tržni inšpektor več kot enkrat med veljavnostjo dovoljenja pri istem dajalcu kredita ugotovi pomanjkljivost iz petega odstavka tega člena, dajalcu kreditov z odločbo prepove sklepanje kreditnih pogodb po tem zakonu in uradu da predlog za odvzem dovoljenja za opravljanje dejavnosti storitev potrošniškega kreditiranja.
(8) Tržni inšpektor kreditnemu posredniku z odločbo prepove posredovanje potrošniških kreditov do odprave pomanjkljivosti, če ugotovi, da kreditni posrednik ne izpolnjuje pogojev za kreditno posredovanje iz 26. člena tega zakona.
35. člen
(vodenje inšpekcijskega postopka)
(1) Če obstajajo razlogi za uvedbo postopka zoper dajalca kredita oziroma kreditnega posrednika, mora tržni inšpektorat po tem zakonu ukreniti vse potrebno, da se odkrijejo in zavarujejo sledovi prekrška in poslovna dokumentacija, ki utegne biti dokaz, ter da se zberejo potrebni dokazi in vsa obvestila, ki bi utegnila biti koristna za uspešno izvedbo upravnega in prekrškovnega postopka.
(2) Vodenje inšpekcijskega postopka, izrekanje ukrepov in vročanje odločb tržnega inšpektorja se štejejo za nujne ukrepe v javnem interesu po zakonu, ki ureja splošni upravni postopek, zato se odločba lahko izda v skrajšanem ugotovitvenem postopku brez zaslišanja zavezanca. Odločba se lahko izda ustno.
(3) Za kraj vročanja se šteje tudi kraj, na katerem dajalec kredita ali kreditni posrednik posluje s potrošniki.
(4) Zoper odločbo tržnega inšpektorja je dovoljena pritožba v osmih dneh od dneva vročitve.
(5) Pritožba zoper odločbo tržnega inšpektorja iz petega, šestega in sedmega odstavka 34. člena tega zakona ne zadrži njene izvršitve.
36. člen
(nadzor informacijskega pooblaščenca)
Nadzor nad dajalci kreditov glede izvajanja drugega odstavka 8. člena ter prvega, drugega in četrtega odstavka 9. člena tega zakona opravlja informacijski pooblaščenec.
37. člen
(poročanje)
(1) Dajalec kreditov, ki posluje na podlagi dovoljenja, ki ga izda urad, mora vsakih 12 mesecev uradu na predpisanem obrazcu najpozneje peti delovni dan po preteku mesečnega obdobja za preteklo obdobje poročati o sklenjenih kreditnih pogodbah in dogovorjeni efektivni obrestni meri ter o tem, da ni bila sklenjena nobena kreditna pogodba.
(2) Če dajalec kredita v rokih iz prejšnjega odstavka ne poroča uradu, ga urad opomni in pozove k izpolnitvi obveznosti v dodatnem roku 15 dni.
(3) Minister, pristojen za gospodarstvo, podrobneje predpiše pogoje, način, vsebino in obrazec poročanja dajalcev kreditov, ki poslujejo na podlagi dovoljenja urada.
X. ZUNAJSODNO REŠEVANJE SPOROV
38. člen
(postopek zunajsodnega reševanja sporov)
(1) Dajalci kreditov zagotovijo hiter, enostaven in strokoven postopek zunajsodnega reševanja sporov s potrošniki v zvezi z opravljanjem storitev potrošniškega kreditiranja. V ta namen ustanovijo posebno neodvisno in nepristransko telo, na katero lahko potrošnik naslovi svojo pritožbo v zvezi z domnevnimi kršitvami dajalca kredita pri opravljanju storitev po tem zakonu.
(2) Dajalci kreditov morajo v postopku zunajsodnega reševanja zagotoviti sodelovanje neodvisnih strokovnjakov s področja potrošniškega prava. Dajalci kreditov se lahko dogovorijo o oblikovanju skupnega telesa za zunajsodno reševanje sporov s potrošniško organizacijo, ki je vpisana v register potrošniških organizacij in je dejavna na področju finančnih storitev.
(3) Akt o ustanovitvi telesa za zunajsodno reševanje sporov mora določati tudi pravila in postopek sodelovanja tega telesa s telesi, ki so v drugih državah članicah Evropske unije pristojna za zunajsodno reševanje sporov v zvezi z opravljanjem storitev potrošniškega kreditiranja, če reševanje posameznega spora sodi tudi v pristojnost takega telesa druge države članice Evropske unije.
(4) Pravila za zunajsodno reševanje sporov morajo biti jasna in razumljiva, še zlasti pa morajo določati:
1. ime, obliko in sestavo telesa, ki je pristojno za reševanje sporov;
2. postopek predložitve vloge za reševanje spora pristojnemu telesu z naslovom, na katerega lahko potrošnik naslovi vlogo, in obliko vloge;
3. najdaljši rok, v katerem pristojno telo odloči v sporu, ki ne sme biti daljši kot tri mesece od dneva, ko je dajalec kredita prvič prejel zahtevo potrošnika za rešitev spora;
4. da predložitev vloge za rešitev spora pristojnemu telesu in njegova odločitev ne posegata v pravico potrošnika, da kadar koli vloži tožbo pred pristojnim sodiščem zoper dajalca kredita zaradi rešitve spora v zvezi z opravljanjem storitev potrošniškega kreditiranja.
(5) Pristojno telo potrošniku v zvezi s postopkom zunajsodnega reševanja spora v zvezi z opravljanjem storitev potrošniškega kreditiranja ne sme zaračunavati nobenih stroškov.
XI. KAZENSKE DOLOČBE
39. člen
(1) Z globo od 12.500 do 125.000 eurov se za prekršek kaznuje dajalec kreditov ali kreditni posrednik, ki je pravna oseba, samostojni podjetnik posameznik in posameznik, ki samostojno opravlja dejavnost, če:
1. pri oglaševanju v zvezi s kreditnimi pogodbami, ki vsebuje obrestno mero ali druge podatke v zvezi s stroški kredita, ne navede vseh informacij iz prvega odstavka 5. člena tega zakona ali navedene informacije niso prikazane s pomočjo reprezentativnega primera v skladu z drugim odstavkom 5. člena tega zakona;
2. pri pisnem oglaševanju informacije, povezane z efektivno obrestno mero ali skupnim zneskom, ki ga mora plačati potrošnik, niso podane v skladu s tretjim odstavkom 5. člena tega zakona;
3. potrošniku predhodnih informacij ne zagotovi ali jih ne zagotovi v skladu s 6. in 7. členom tega zakona;
4. ne oceni kreditne sposobnosti potrošnika (prvi odstavek 8. člena);
5. kreditna pogodba ni sklenjena pisno na papirju ali drugem trajnem nosilcu podatkov (prvi odstavek 10. člena);
6. kreditne pogodbe ves čas trajanja pogodbe ne hrani v poslovnih prostorih, v katerih se sklepajo kreditne pogodbe (drugi odstavek 10. člena);
7. potrošniška hipotekarna pogodba ni sklenjena v obliki notarskega zapisa (šesti odstavek 10. člena);
8. kreditna pogodba ne vsebuje vseh predpisanih sestavin iz tretjega odstavka 10. člena in prvega odstavka 12. člena tega zakona;
9. pri molče dovoljeni prekoračitvi stanja na plačilnem računu potrošniku ne zagotovi predpisanih informacij v skladu s prvim in drugim odstavkom 13. člena tega zakona;
10. ob razdoru kreditne pogodbe potrošniku ne vrne vseh plačanih zneskov v skladu s tretjim odstavkom 14. člena tega zakona;
11. ob odstopu od pogodbe potrošniku zaračuna nadomestilo v nasprotju s četrtim odstavkom 17. člena tega zakona;
12. ob predčasnem odplačilu kredita potrošniku zaračuna nadomestilo v nasprotju z 19. členom tega zakona;
13. ob sklenitvi kreditne pogodbe od potrošnika zahteva izdajo ali sprejem bianko menice ali čeka ali drugega plačilnega instrumenta, ki ima po svoji naravi podobne učinke (21. člen);
14. izračunava efektivno obrestno mero ali skupne stroške kredita v nasprotju z 22. in 23. členom tega zakona;
15. s kreditno pogodbo dogovorjena efektivna obrestna mera presega najvišjo dopustno efektivno obrestno mero (24. člen);
16. kreditni posrednik pri oglaševanju in v dokumentaciji, namenjeni potrošniku, ne navede obsega svojih pooblastil ali z dajalcem kredita nima sklenjene pogodbe ali potrošniku zaračuna plačilo storitev ali nadomestilo stroškov posredovanja (25. člen);
17. pri poslovanju ne izpolnjuje predpisanih pogojev za kreditne posrednike (26. člen);
18. kreditna pogodba vsebuje pogodbeno določilo, ki je v nasprotju s tem zakonom in v škodo potrošnika (27. člen);
19. se izogiba določbam tega zakona z načinom oblikovanja pogodb ali sklenitvijo več pogodb, ki z ekonomskega vidika sestavljajo celoto (prvi in drugi odstavek 28. člena);
20. odobrava kredite brez dovoljenja v nasprotju z 29. členom tega zakona;
21. pri poslovanju ne izpolnjuje predpisanih kadrovskih, organizacijskih, tehničnih in drugih pogojev za dajanje kreditov (30. člen);
22. tržnemu inšpektorju ne predloži sklenjenih kreditnih pogodb v skladu z drugim odstavkom 34. člena tega zakona.
(2) Z globo od 12.500 do 125.000 eurov se za prekršek iz 1. do 19. točke prejšnjega odstavka kaznuje dajalec kreditov, ki posluje na podlagi dovoljenja po zakonu, ki ureja bančništvo.
(3) Z globo od 1.250 do 4.000 eurov se za prekršek kaznuje odgovorna oseba pravne osebe ali odgovorna oseba samostojnega podjetnika posameznika, če stori prekršek iz prvega odstavka tega člena.
(4) Z globo od 1.250 do 4.000 eurov se za prekršek kaznuje odgovorna oseba pravne osebe, ki posluje na podlagi dovoljenja po zakonu, ki ureja bančništvo, če stori prekršek iz 1. do 19. točke prvega odstavka tega člena.
(5) Če je narava storjenega prekrška iz prvega in drugega odstavka tega člena posebno huda zaradi višine povzročene škode oziroma višine protipravno pridobljene premoženjske koristi ali zaradi storilčevega naklepa oziroma njegovega namena koristoljubnosti, se pravna oseba, samostojni podjetnik posameznik in posameznik, ki samostojno opravlja dejavnost, kaznuje z globo od 37.500 do 150.000 eurov, odgovorna oseba pravne osebe ali odgovorna oseba samostojnega podjetnika posameznika iz tretjega in četrtega odstavka tega člena pa z globo od 3.750 do 10.000 eurov.
40. člen
(1) Z globo od 1.250 do 4.000 eurov se za prekršek kaznuje dajalec kreditov, ki je pravna oseba, samostojni podjetnik posameznik in posameznik, ki samostojno opravlja dejavnost, če:
1. v nasprotju s tem zakonom ne upošteva pravil ravnanja z nalepkami in pravil vračila nalepk (31. člen);
2. ne poroča o sklenjenih pogodbah in dogovorjeni efektivni obrestni meri z vsebino, v roku in na način iz 37. člena tega zakona.
(2) Z globo 400 eurov se za prekršek kaznuje odgovorna oseba pravne osebe ali odgovorna oseba samostojnega podjetnika posameznika, če stori prekršek iz prejšnjega odstavka.
XII. PREHODNE IN KONČNE DOLOČBE
41. člen
(razveljavitev predpisov in uporaba zakona)
(1) Z dnem uveljavitve tega zakona preneha veljati Zakon o potrošniških kreditih (Uradni list RS, št. 70/00, 41/04 in 111/07).
(2) Ta zakon se ne uporablja za kreditne pogodbe, sklenjene pred dnem uveljavitve tega zakona.
(3) Ne glede na prejšnji odstavek morajo dajalci kreditov pri že sklenjenih kreditnih pogodbah, katerih trajanje ni določeno, zagotoviti spoštovanje 11. člena, drugega in tretjega odstavka 12. člena, 13. in 16. člena ter prvi in drugi odstavek 20. člena tega zakona najpozneje v šestih mesecih po uveljavitvi tega zakona.
42. člen
(izdaja podzakonskih predpisov)
Minister, pristojen za gospodarstvo, izda podzakonske akte iz 6., 26., 30., 31. in 37. člena tega zakona v enem mesecu po uveljavitvi tega zakona.
43. člen
(sistem izmenjave informacij o boniteti strank)
Upravljavec sistema izmenjave informacij o boniteti strank, ki so fizične osebe, ki se vodi na podlagi zakona, ki ureja bančništvo, mora najpozneje do 30. junija 2011 prilagoditi sistem, tako da bo dajalcem kreditov, ki niso vključeni v sistem izmenjave, po tem zakonu omogočeno zagotavljanje podatkov iz sistema.
44. člen
(podaljšanje pridobljenega dovoljenja urada)
Dajalci kreditov, ki so pridobili dovoljenje urada za opravljanje storitev potrošniškega kreditiranja več kot tri leta pred uveljavitvijo tega zakona, morajo uradu predložiti dokazila, da še vedno izpolnjujejo pogoje za pridobitev dovoljenja v skladu s 30. členom tega zakona, v šestih mesecih od uveljavitve tega zakona, sicer jim dovoljenje preneha veljati.
45. člen
(začetek veljavnosti)
Ta zakon začne veljati petnajsti dan po objavi v Uradnem listu Republike Slovenije.
Št. 450-15/10-2/28
Ljubljana, dne 9. julija 2010
EPA 1062-V
Državni zbor
Republike Slovenije
Miran Potrč l.r.
Podpredsednik

AAA Zlata odličnost

Nastavitve piškotkov

Vaše trenutno stanje

Prikaži podrobnosti