Na podlagi pete alineje petega odstavka179.i člena Zakona o letalstvu (Uradni list RS, št. 81/10 – uradno prečiščeno besedilo, 46/16 in 47/19) izdaja direktor Javne agencije za civilno letalstvo Republike Slovenije naslednje
C E R T I F I K A C I J S K E S P E C I F I K A C I J E
za atestiranje ultralahkih motornih letal (druga izdaja)
1. Splošno
1.1 Vsebina in namen
Certifikacijske specifikacije za ultralahka motorna letala določajo podrobne tehnične zahteve, potrebne za določitev konfiguracije in konstrukcijskih značilnosti proizvoda, informacije o materialih in procesih ter metodah za proizvodnjo oziroma katerekoli druge podatke, ki so potrebni, da omogočajo določitev plovnosti, poznejših proizvodov istega tipa, zrakoplovov opredeljenih v točki CS-UML 1 teh certifikacijskih specifikacij. Namenjene so, da se zagotovi, če se jih uporablja v skladu z njihovim namenom, da ti zrakoplovi niso vzrok za zaskrbljenost ter da varnost letalskega prometa, javna varnost in red niso ogroženi.
1.2. Predhodni postopki
Za tipe ultralahkih motornih letal, ki so pridobila dovoljenje za letenje skladno s Certifikacijskimi specifikacijami za atestiranje ultralahkih motornih letal (Uradni list RS, št. 87/14 in 14/17), se šteje, da so skladna s temi certifikacijskimi specifikacijami.
Za tipe ultralahkih motornih letal, ki so pridobila dovoljenje za letenje pred začetkom veljavnosti Certifikacijskih specifikacij za atestiranje ultralahkih motornih letal (Uradni list RS, št. 87/14 in 14/17), se uporablja četrti odstavek 23. člena Pravilnika o ultralahkih letalnih napravah (Uradni list RS, št. 49/16, 52/16, 32/18, 10/19 in 75/19).
1.3. Prenehanje veljavnosti
Z dnem uveljavitve teh certifikacijskih specifikacij prenehajo veljati Certifikacijske specifikacije za atestiranje ultralahkih motornih letal (Uradni list RS, št. 87/14 in 14/17).
1. 4. Začetek veljavnosti
Te certifikacijske specifikacije začnejo veljati naslednji dan po objavi v Uradnem listu Republike Slovenije.
Ljubljana, dne 24. novembra 2020
2. Razlage
1. Te zahteve in razlage ne povzemajo vsega znanja na letalskem področju, zato je potrebno posamezna določila teh zahtev razlagati skladno z vsemi novimi dognanji na področju letalske tehnologije in znanosti.
2. Za boljše razumevanje zahtev so le-te na določenih mestih podkrepljene z razlagami. Te razlage so sprejemljiv način usklajevanja zahtev, priporočenih postopkov ali dopolnilnih podatkov.
3. Stavki, ki vsebujejo besedo „naj“ ali „lahko“ niso obvezujoči temveč priporočila.
4. Zahteve, ki niso številčno ovrednotene, jih v dvomljivih primerih bolj natančno opredeli ustrezna strokovna organizacija (kot npr. fakulteta za strojništvo, odobrena projektivna organizacija v letalstvu, projektantski biroji …).
3. Vsebina in oblika
1. Predpisi gradnje so razdeljeni v poglavja, ki so označena s črkami.
2. Kazalo vsebuje podroben pregled vsebine posameznega poglavja.
3. Oštevilčenje poglavij, podpoglavij, odstavkov in točk je izvedeno z naraščajočimi črkami oziroma številkami.
Če imajo pojmi v smislu teh zahtev poseben pomen, so na ustreznih mestih posebej definirani.
4. Uporaba pojmov, kratic in označb
VA | načrtovana manevrska hitrost |
VB | načrtovana hitrost pri največjem udarcu vetra |
VD | načrtovana hitrost strmega leta |
VDF | hitrost strmega leta dosežena pri preskusnih poletih |
VF | načrtovana hitrost z zakrilci |
VFE | največja hitrost z izvlečenimi zakrilci |
VH | največja hitrost v vodoravnem letu pri največji stalni moči motorja |
VL0 | največja hitrost za izvlečenje podvozja |
VNE | največja dovoljena hitrost |
VRA | največja hitrost v turbolentni atmosferi |
VS | hitrost prevlečenega leta |
VS0 | najmanjša hitrost v obliki za pristanek |
VS1 | najmanjša hitrost letala |
VSF | računska hitrost prevlečenega leta pri popolnoma izvlečenih zakrilcih in največji vzletni masi |
VT | največja dovoljena hitrost v aerovleki |
VY | hitrost največjega vzpenjanja |
CAS | kalibrirana hitrost (Calibrated AirSpeed – CAS) |
EAS | ekvivalentna hitrost (Equivalent AirSpeed – EAS) |
IAS | odčitana hitrost (Indicated AirSpeed – IAS) |
TAS | dejanska hitrost (True AirSpeed – TAS) |
Qnom | največja dovoljena natezna trdnost vlečne vrvi ali varovalke |
5. Splošni tehnični pojmi
pogonska skupina | motor, naprava za pogon letala, ki vključuje tudi tiste dodatne dele in priprave, ki niso nujne za upravljanje s pogonsko močjo; propeler ni vključen. |
nastavljivi propeler | propeler, pri katerem je mogoče nastavljati kot krakov na tleh ali med obratovanjem; vrste nastavljivih propelerjev: |
a) | propeler pri katerem pilot ročno nastavlja kot krakov, |
b) | propeler pri katerem kot krakov upravlja regulator ali druga avtomatska naprava; delovanje lahko zagotavlja vgradni del propelerja ali neka dodatna naprava, pri tem pa lahko pilot nastavlja izbrani način delovanja (constant speed propeller), |
c) | propeler, ki za nastavljanje uporablja kombinacijo načinov a in b. |
varnostno pasovje | varnostni pasovi iz štirih delov, pri katerem dva dela pričvrstita ramena, preostala dva pa medenico |
faktor preobremenitve | razmerje med trenutnim vzgonom na krilu in težo letala |
največja vzletna moč | moč na pogonski gredi, ki jo motor razvije na nivoju morske gladine pri pogojih mednarodne standardne atmosfere; motor deluje na najvišjih dovoljenih obratih in polnjenju, ki jih proizvajalec dovoljuje v trajanju 5 minut. |
največja stalna moč | moč na pogonski gredi, ki jo motor razvije na določeni višini pri pogojih standardne atmosfere; pri tem so obrati in polnjenje takšni, kot jih proizvajalec dovoljuje za trajno obratovanje. |
ognjevarno | lastnost dela ali materiala, do ohranja trdnost kljub 15-minutni izpostavljenosti toploti „standardnega plamena“. Materiali in deli, ki služijo omejevanju plamena oziroma zadrževanju ognja, morajo tudi ob daljšem izpostavljanju učinkom prekomerne toplote ohraniti vsaj take varovalne lastnosti, kot jih ima jeklo. To velja tudi za napeljave in druge dele. |
Ognjeodporno/ ognjevarno | lastnost dela ali materiala, do ohranja trdnost kljub 5-minutni izpostavljenosti toploti „standardnega plamena“. Pločevina in strukturni deli morajo tudi ob daljši izpostavljenosti učinkom prekomerne toplote, ohranjati vsaj take varovalne lastnosti, kot jih ima aluminij. Napeljava za tekočine in vsi ostali deli, ki vsebujejo vnetljive tekočine, električna napeljava, uvodniki za zrak, okovje in vzvodi za motor morajo med požarom zadrževati toploto v tolikšni meri, da ohranjajo svojo funkcijo. |
težko vnetljivo | lastnost materiala, da ognja ne širi, oziroma ga krajevno omejuje. |
oblika za letenje | oblika za vzletanje, oblika za pristajanje, (konfiguracija). |
CERTIFIKACIJSKE SPECIFIKACIJE ZA ATESTIRANJE ULTRALAHKIH MOTORNIH LETAL
I. Uvodna pojasnila
4. Uporaba pojmov, kratic in označb
5. Splošni tehnični pojmi
II. Kazalo
A. Splošno
CS-UML 1 Uporaba
B. Letenje
Splošno
CS-UML 21 Izvedba dokazov
CS-UML 23 Omejitve masnih razporeditev
CS-UML 25 Omejitve mase
CS-UML 29 Masa praznega letala in pripadajoča lega masnega središča
CS-UML 45 Splošno
CS-UML 49 Hitrost prevlečenega leta
CS-UML 51 Vzlet
CS-UML 65 Vzpenjanje
Krmarljivost in okretnost
CS-UML 143 Splošno
CS-UML 145 Vzdolžna krmarljivost
CS-UML 147 Prečna in smerna krmarljivost
CS-UML 155 Sila na ročici višinskega krmila pri manevrih
CS-UML 161 Trimanje
CS-UML 171 Splošno
CS-UML 173 Statična vzdolžna stabilnost
CS-UML 177 Prečna in smerna stabilnost
CS-UML 181 Dinamična stabilnost
CS-UML 201 Prevlečen let brez nagiba
CS-UML 203 Prevlečen let v zavoju
CS-UML 207 Opozarjanje pred prevlečenjem
CS-UML 233 Smerna stabilnost in krmarljivost
CS-UML 234 Vzlet in pristanek pri bočnem vetru
Ostale zahteve za obnašanje letala
CS-UML 251 Vibracije in drhtenje
C. Trdnost
CS-UML 301 Obremenitve
CS-UML 303 Varnostni faktor
CS-UML 305 Trdnost in deformacije
CS-UML 307 Dokazovanje trdnosti
Trdnostne lastnosti materialov in računske vrednosti
CS-UML 321 Splošno
CS-UML 331 Simetrični pogoji letenja
V-n diagram (obremenitvena ovojnica)
CS-UML 333 Splošno
CS-UML 335 Načrtovane hitrosti
CS-UML 337 Faktorji obremenitve zaradi manevra
CS-UML 341 Faktorji obremenitve zaradi udarca vetra
CS-UML 345 Obremenitev pri izvlečenih zakrilcih
CS-UML 361 Obremenitve nosilca motorja
CS-UML 363 Stranske obremenitve na nosilec motorja
Krmilne površine in pogoni krmil
CS-UML 395 Pogon krmil
CS-UML 397 Obremenitve zaradi sil pilota
CS-UML 399 Dvojno krmilje
CS-UML 405 Sekundarno krmilje
CS-UML 411 Togost krmilja
Horizontalne repne površine (Višinski stabilizator)
CS-UML 421 Osnovne obremenitve
CS-UML 423 Obremenitve zaradi krmarjenja
CS-UML 425 Obremenitve zardi udara vetra
CS-UML 427 Nesimetrične obremenitve
Vertikalne repne površine (Smerni stabilizator)
CS-UML 441 Obremenitve zaradi krmarjenja
CS-UML 443 Obremenitve zaradi udara vetra
CS-UML 444 Vzdignjen višinski stabilizator
Dodatni pogoji za repne površine
CS-UML 447 Superpozicija obremenitev na repu
CS-UML 455 Krilca
Obremenitve zaradi sil tal
CS-UML 471 Splošno
CS-UML 473 Predpostavke obremenitev glavnega podvozja zaradi sil tal
CS-UML 479 Pogoji pristajanja za glavno podvozje
CS-UML 481 Pogoji pristajanja za podvozje z repnim kolesom
CS-UML 499 Pogoji pristajanja za nosna kolesa
Pogoji za pristanek v sili
CS-UML 561 Splošno
CS-UML 597 Obremenitve zaradi posameznih mas
D. Projektiranje in izdelava
CS-UML 601 Splošno
CS-UML 605 Postopki izdelave
CS-UML 607 Varovanje spojnih elementov
CS-UML 609 Zaščita komponent
CS-UML 611 Zagotavljanje dostopnosti za izvajanje pregledov
CS-UML 612 Pripravnost za sestavljanje in razstavljanje
CS-UML 627 Utrujanje materiala in dinamična trdnost
CS-UML 629 Preprečevanje frfotanja in trdnost strukture
CS-UML 655 Vgradnja
CS-UML 659 Masno uravnoteženje
CS-UML 671 Splošno
CS-UML 675 Omejilniki
CS-UML 677 Sistemi za trimanje
CS-UML 679 Zapora krmilja
CS-UML 683 Funkcionalni preizkusi krmilja
CS-UML 685 Sestavni deli krmilja
CS-UML 687 Vzmetni deli krmilja
CS-UML 689 Pletenice
CS-UML 697 Krmilje zakrilc
CS-UML 701 Medsebojna povezava zakrilc
CS-UML 721 Splošno
Projektiranje pilotske kabine
CS-UML 771 Pilotska kabina splošno
CS-UML 773 Vidljivost iz pilotske kabine
CS-UML 775 Vetrobran in okna
CS-UML 777 Krmilje v pilotski kabini
CS-UML 779 Smeri pomikov in učinki krmilja v pilotski kabini
CS-UML 780 Barvne oznake krmilja v pilotski kabini
CS-UML 785 Sedeži in varnostni pasovi
CS-UML 786 Zaščita proti poškodbami
CS-UML 787 Prostor za prtljago
CS-UML 807 Izhod v sili
CS-UML 831 Prezračevanje
CS-UML 857 Izenačevanje elektrostatičnih potencialov
E. Pogonska skupina
CS-UML 901 Definicija in vgradnja
CS-UML 903 Motor
CS-UML 925 Varnostni odmiki propelerja
CS-UML 951 Splošno
CS-UML 955 Pretok goriva
CS-UML 959 Neuporabno gorivo
CS-UML 963 Posode za gorivo – splošno
CS-UML 965 Preizkušanje posod za gorivo
CS-UML 967 Vgradnja posod za gorivo
CS-UML 971 Posode za gorivo
CS-UML 973 Odprtina za dotakanje goriva na posodah za gorivo
CS-UML 975 Odzračenje posod za gorivo
CS-UML 977 Gorivna sita in filtri
CS-UML 993 Gorivne napeljave in armature
CS-UML 995 Ventili in regulatorji za gorivo
CS-UML 1011 Splošno
CS-UML 1013 Posoda za mazivo
CS-UML 1015 Tlačni preskus posode za mazivo
CS-UML 1017 Napeljava in armature
CS-UML 1041 Splošno
CS-UML 1091 Sistem dovoda zraka
CS-UML 1121 Splošno
CS-UML 1125 Izpušna napeljava
Krmilje in pomožne naprave pogona
CS-UML 1141 Splošno
CS-UML 1145 Stikala za vžig
CS-UML 1149 Krmilje obratov propelerja
CS-UML 1193 Pokrov motorja in motorska gondola
F. Oprema
CS-UML 1301 Delovanje in vgradnja
CS-UML 1303 Pilotski in navigacijski merilniki
CS-UML 1305 Merilniki pogonskega sistema
CS-UML 1307 Ostala oprema
CS-UML 1321 Razporeditev in vidnost
CS-UML 1323 Merilnik hitrosti
CS-UML 1325 Pitot-statični sistem
CS-UML 1337 Merilniki pogonskega sistema
Električni sistemi in oprema
CS-UML 1353 Zasnova in vgradnja akumulatorjev
CS-UML 1365 Električni vodniki in oprema
CS-UML 1431 Radio in radio-navigacijska oprema
G. Omejitve obratovanja in informacije
CS-UML 1501 Splošno
CS-UML 1505 Hitrosti letenja
CS-UML 1507 Hitrost manevriranja
CS-UML 1511 Hitrost za izvlečenje zakrilc
CS-UML 1515 Hitrost za izvlečenje podvozja
CS-UML 1517 Hitrost v turbulentni atmosferi
CS-UML 1519 Masa in lege masnega središča
CS-UML 1521 Omejitve pogonskega sistema
CS-UML 1529 Priročnik za vzdrževanje
H. Oznake in napisi
CS-UML 1541 Splošno
CS-UML 1545 Oznake merilnika hitrosti
CS-UML 1547 Magnetni kompas
CS-UML 1549 Merilniki pogonskega sistema
CS-UML 1553 Merilnik količine goriva
CS-UML 1555 Označevanje krmilja
CS-UML 1557 Ostale oznake in napisi
CS-UML 1581 Splošno
CS-UML 1583 Omejitve obratovanja
CS-UML 1585 Obratovalni podatki in postopki
I. Propeler
CS-UML 1917 Materiali
CS-UML 1919 Trajnost
CS-UML 1923 Krmiljenje kota koraka
Priloga I
1. Splošno
2. Obremenitve zaradi reševalne naprave
3. Vgradnja reševalne naprave
Priloga II
1. Aerovleka
Dodatne zahteve za aerovleko z ultralahkimi letali
A. Splošno
B. Zasnova Projektiranje in gradnja izdelava
B1. Krmilje vlečne sklopke
B2. Kazalnik kritične temperature motorja
B3. Naprava za nadzor vlečenega letala
B4. Vrv za aerovleko in predvideno mesto pretrganja
B5. Vlečna sklopka
B6. Črpalke za gorivo
C. Vlečena letala
D. Lastnosti aerovleke
E. Trdnost
F. Obratovalni podatki in omejitve
2. Vleka nevodenih zapreg – transparentov (brez vlečne kljuke)
C. Projektiranje in izdelava
F. Obratovalni podatki in omejitve
Priloga III
Vodna ultralahka motorna letala
4. Uporaba pojmov, kratic in oznak
B. Letenje vodnih ultralahkih motornih letal
Obremenitveni primeri za obravnavo
Porazdelitev vodnih obremenitev
D. Projektiranje in izdelava
Dodatna oprema za mehanizme plovcev
G. Obratovalne omejitve in podatki
Priloga IV
V-n diagram (obremenitvena ovojnica)
CS-UML 361 Obremenitve nosilca motorja
Pogoji za pristanek v sili
CS-UML 561 Splošno
D. Projektiranje in izdelava
Projektiranje pilotske kabine
CS-UML 779 Smeri pomikov in učinki krmilja v pilotski kabini
2. Moč motorja in omejitve obratovanja
3. Projektiranje in izdelava
4. Oscilacije
5. Sistem zagotavljanja energije in sistem dovoda zraka
CS-UML 904 Sistem zagotavljanja energije
CS-UML 906 Viri energije
CS-UML 908 Krmilje pogona in pomožne naprave
CS-UML 1191 Požarna stena
CS-UML 1305 Naprave za spremljanj stanja motorja
Električni sistemi in oprema
CS-UML 1354 Projektiranje in izdelava virov energije
CS-UML 1356 Naprava s funkcijo glavnega stikala
CS-UML 1365 Električni kalbi in dodatki
CS-UML 1557 Razne oznake in napisi
CS-UML 1585 Obratovalni podatki in postopki
Priloga 1
Priloga 2
Priloga 3
Primerljivost s CS 22 in CS VLA
A. Splošno
CS-UML 1 Uporaba
Ti predpisi gradnje so uporabni za ultralahka motorna letala z aerodinamičnim krmiljem, katerih:
1. največja vzletna masa ni večja od 600 kg – za kopensko letalo, vključno s sistemom reševalnega padala, pritrjenim na ogrodje, ali
2. največja vzletna masa ni večja od 650 kg za uporabo kot vodno letalo, vključno s sistemom reševalnega padala, pritrjenim na ogrodje,
3. hitrost vS0, glej CS-UML 49, ne presega ne presega 83 kilometrov na uro kalibrirane hitrosti (CAS).
Specifikacije za vodna letala so podane v Prilogi III.
B. Letenje
CS-UML 21 Izvedba dokazov
Vse zahteve tega poglavja B morajo upoštevati vse možne lege masnega središča in mase letala, v obsegu obremenitev za katere je dokazovanje ustreznosti izpeljano, in sicer s preskusi in najmanj enim vzorčnim letalom.
Dokazi morajo biti izpeljani za vse oblike letenja v katerih bo letalo letelo, če ni drugače določeno.
V tem poglavju niso zajete vse zahteve, ki dokazujejo skladnost dokazov s preskusnimi poleti.
1. Merilna oprema za preskusne polete:
a. Za preskusne polete naj bo letalo opremljeno z merilno opremo, ki omogoča enostavno izvedbo meritev in opazovanj.
b. Pred začetkom preskusov naj se določi natančnost merilne opreme in njihove korekcijske tabele ali diagrame.
2. Pred izvedbo preskusnih poletov naj bodo izvedeni naslednji preskusi na tleh:
a. preskus pogonskega sistema po postopku v CS-UML 901,
b. meritve maksimalnega odklona krmilnih površin, kril, zakrilc in sistemov za upravljanje,
3. Preskus funkcionalnosti
Pred začetkom preskusnih poletov naj bodo na tleh izvedeni vsi funkcionalni preskusi sistemov in letala.
CS-UML 23 Omejitve masnih razporeditev
1. Območje lege masnega središča, pri katerem je letalo varno krmarljivo, določi prosilec. Dokazano varno območje lege masnega središča mora segati od skrajne prednje lege, preko skrajne zadnje lege do točke, ki je za skrajno zadnjo lego masnega središča pomaknjena za 1 % srednje aerodinamične tetive ali za 10 mm. Upoštevati je potrebno vrednost, ki je večja.
2. Območje lege masnega središča ne sme biti ožje od tistega, ki je določeno z naslednjimi masami vsakega potnika:
a. najmanjša masa 70 kg, največja masa 110 kg (ampak ne več kot 200 kg pri dvosedu).
Upoštevati je potrebno najbolj neugodne možnosti razporeditve masnih bremen tovora in goriva.
Največja vzletna masa je določena tako, da:
1. Ni večja od:
a. največje mase, ki jo je prosilec predlagal,
b. največje načrtovane mase, pri kateri je dokaz izpeljan za vse možne obremenitve ogrodja in skladna z vsemi zahtevami letenja.
2. Ni manjša od vsote mas praznega letala z vso minimalno opremo letala, mase potnikov in sicer najmanj 110 kg za enosedežno letalo ali najmanj 200 kg za dvosedežno letalo ter mase goriva za eno uro letenja pri največji stalni moči motorja.
3. Najmanjša vzletna masa ne sme biti večja od vsote:
a. mase praznega letala v CS-UML 29, 1. in
CS-UML 29 Masa praznega letala in pripadajoča lega masnega središča
1. Masa praznega letala in pripadajoča lega masnega središča se določi s tehtanjem letala:
i. s stalno vgrajenim balastom,
ii. z zahtevano minimalno opremo in reševalno napravo,
iii. neuporabnim gorivom, največjo količino olja (če obstaja), hidravličnega olja (če obstaja) in hladilne količine (če obstaja),
iv. brez mase pilota in potnika in brez ostalega tovora.
2. Seznam opreme letala v času tehtanja praznega letala mora biti natančno naveden, tehtanje pa brez težav ponovljivo.
3. Poročilu o tehtanju mora biti priložen tudi seznam osnovne opreme (na primer: velikost pnevmatik, blatniki, velikost posode za gorivo, itd.) ter seznam dodatne opreme (na primer: avionika, dodatno ogrevanje, vlečna sklopka, če je vgrajena itd.).
Dokaz skladnosti z zahtevami iz tega poglavja mora biti izveden za največjo vzletno maso, pri brezvetrju in mednarodni standardni atmosferi na morski gladini.
CS-UML 49 Hitrost prevlečenega leta
1. VS0 je hitrost prevlečenega leta (CAS), če je varno dosegljiva, ali je najmanjša hitrost pri kateri je letalo še krmarljivo. Pri tem je motor v prostem teku ali ugašen. Upošteva se tisto stanje pri katerem je VS0 večja in:
a. letalo je v pristajalni obliki,
b. letalo ima največjo dovoljeno vzletno maso.
2. VS1 je hitrost prevlečenega leta (CAS), če je varno dosegljiva, ali je najmanjša hitrost pri kateri je letalo še krmarljivo. Pri tem je motor v prostem teku ali ugašen in:
a. letalo je v preskusni obliki v kateri se VS1 preskuša,
b. letalo ima največjo dovoljeno vzletno maso.
3. VS0 in VS1 morajo biti pridobljeni po postopkih, določenih v CS-UML 201.
Razdalja za vzlet mora biti izmerjena na suhem, ravnem, kratko pokošenem travniku in v brezvetrju. Meri se od mesta mirovanja do mesta, nad katerim letalo doseže višino 15 m. Največja dovoljena vzletna razdalja je 450 m.
V letalni priročnik se vpiše povprečna vzletna razdalja šestih preskusnih poletov.
Hitrost največjega vzpenjanja mora biti po korekciji na standardno atmosfero na višini morske gladine večja od 1,5 m/s in dosežena pod naslednjimi pogoji:
1. pri nastavitvi moči motorja za vzlet,
2. uvlečeno podvozje,
3. največja vzletna masa letala,
4. zakrilca v predvidenem položaju za vzpenjanje in brez prekoračitve predpisanih mejnih temperatur motorja.
Krmarljivost in okretnost
1. Letalo mora biti varno krmarljivo in odzivno:
a. med vzletanjem pri največji vzletni moči,
e. pri pristajanju z dodano močjo ali prostim tekom motorja,
f. pri nenadni odpovedi motorja.
2. Prehod iz enega v drug manever mora biti lahek (vključno z zavijanjem, če konfiguracija to dovoli), pri vseh verjetnih pogojih letenja, brez posebnih spretnosti pilotiranja, pozornosti in naprezanja pilota, ter brez prekoračitve faktorja preobremenitve, pri vseh dopustnih močeh motorja, tudi pri nenadni odpovedi motorja. Majhna odstopanja od priporočenih postopkov ne smejo povzročiti nevarnega načina letenja.
3. Vse nenavadne letalne lastnosti, ki so opazne pri preskusnih poletih za dokaz skladnosti z zahtevami letenja in vse občutne spremembe letalnih lastnosti zaradi dežja, morajo biti ugotovljene pri vseh dovoljenih nastavitvah moči motorja.
4. Če pilot težko premaguje sile pri krmarjenju, morajo biti mejne zmožnosti premagovanja sil ovrednotene z meritvami. Največje dovoljene sile za triosno krmilje so navedene v spodnji tabeli. Te omejitve veljajo za vse dovoljene nastavitve moči motorja.
sila na palici ali pedalih | višina | nagib | smer | zakrilca, podvozje |
| daN | daN | daN | daN |
a) kratkotrajno upravljanje | 20 | 10 | 40 | 10 |
b) dolgotrajno upravljanje | 2 | 1,5 | 10 | |
Pri krmilih, ki delujejo na podlagi spreminjanja lege masnega središča in ostalem neobičajnem krmilju, ko pilot ne more premagovati navedenih sil, se je potrebno posvetovati z ustanovo, ki preskuša vzorčna letala.
5. Odklon glavnih in pomožnih krmilnih površin se zaradi elastičnih deformacij pogona krmil ne sme toliko zmanjšati, da bi ultralahko letalo postalo težko krmarljivo.
CS-UML 145 Vzdolžna krmarljivost
1. Pri vsaki hitrosti pod 1,3 VS1 mora biti možno z upravljanjem višinskega krmila nos povesiti tako, da letalo nemudoma pospeši na 1,3 VS1.
a. Pogoji za preskus: vse možne oblike za letenje in nastavitve moči motorja, pri tem je letalo trimano na 1,3 VS1 (če je trimanje predvideno).
2. V vsem območju obremenitvene ovojnice mora biti možno upravljanje z vsemi napravami letala (podvozje, zakrilca, nastavitev moči motorja itd.), brez posebnih spretnosti pilota in brez prekoračenih sil za krmarjenje določene v CS-UML 143.
3. Pri VDF mora biti možno za vse dovoljene lege masnega središča in nastavitve moči motorja, dvigniti nos letala tako, da prične letalo varno upočasnjevati.
CS-UML 147 Prečna in smerna krmarljivost
Pri ustreznem krmarjenju letala mora letalo preiti iz enega zavoja z nagibom 30° v nasprotni zavoj z nagibom 30° v času, ki ni daljši od 5 sekund pri hitrosti VS1 in VNE ter, če je izvedljivo z izvlečenim podvozjem in izvlečenimi zakrilci.
CS-UML 155 Sila na ročici višinskega krmila pri manevrih
Sila na ročici višinskega krmila mora v manevru ali v izhodu iz manevra naraščati s faktorjem preobremenitve. Sila, s katero se poveča faktor preobremenitve do dopustnih mej, ne sme biti manjša od 5 daN, pri vseh hitrostih, pri katerih so meje faktorja preobremenitve lahko dosežene, brez prevlečenja, z zakrilci in če je izvedljivo z uvlečenim podvozjem.
Za letala, ki imajo krmilje izvedeno na principu premikanja lege masnega središča, je potrebno najmanjšo silo na krmilnem pogonu, za dosego dopustne meje faktorja preobremenitve, določiti s pomočjo ustanove, ki preskuša vzorčna letala.
Trimanje za vodoravni let mora biti izvedeno tako, da letalo po vseh treh oseh, za vse nastavitve moči motorja, v skrajnih legah masnega središča in hitrostnem območju od 1,3 VS1 do 2,0 VS1 ohranja svoj položaj in hitrost pri nedotaknjenem pogonu krmil.
Letalo mora izpolnjevati pogoje tega poglavja od CS-UML 173 do CS-UML 181. Poleg tega mora biti stabilno in krmarljivo pri vseh normalnih pogojih upravljanja.
CS-UML 173 Statična vzdolžna stabilnost
Za vsako lego masnega središča, položaja zakrilc in nastavitve moči motorja morata biti strmina krivulje „sila na ročici / hitrost“ in „hod ročice / hitrost“ po celotnem območju hitrosti (od najmanjše do največje) pozitivna. Vsaka bistvena sprememba hitrosti mora povzročiti občutno spremembo sile na ročici za upravljanje.
CS-UML 177 Prečna in smerna stabilnost
1. V bočnem letu (prekrižan način krmarjenja krilc in smernega krmila) mora biti izvedljivo ohranjanje smeri leta ob povečevanju nagiba tako, da pilot povečuje odklon smernega krmila. Odvisnost odklona krilc in smernega krmila v bočnem letu ni nujno linearna.
2. Med krmarjenjem bočnega drsenja pri premagovanju sil pogona krmilja ne sme priti do takšnih preobratov, da bi za varno krmarjenje letala zahtevali posebne spretnosti pilota.
CS-UML 181 Dinamična stabilnost
Vsako kratkotrajno nihanje, ki nastane v hitrostnem območju od prevlečenega leta do VDF z
1. nedotaknjenim pogonom krmil
2. ročno učvrščenim pogonom krmil,
mora biti za vse nastavitve moči motorja močno dušeno.
CS-UML 201 Prevlečen let brez nagiba
Prevlečen let mora biti preskušen pri skrajni prednji in zadnji legi masnega središča ter največji in najmanjši dovoljeni vzletni masi, omenjeni v CS-UML 25.
1. Preskus prevlečenega leta se prične v vodoravnem letu. Hitrost se zmanjšuje vsako sekundo za 2 km/h, dokler se prevlečen let ne pojavi, ko neobvladljivo omahne naprej ali se prekucne vstran ali pa pogon višinskega krmila doseže skrajno zadnjo lego. Do prevlečenega leta mora biti letalo običajno krmarljivo po smeri in nagibu.
2. Med izvlečenjem iz prevlečenega leta morajo biti z normalno uporabo krmilja obvladljivi najmanj 20° nagibi. Letalo ne sme imeti neobvladljive tendence k vriju.
3. Pri običajnih postopkih vračanja letala v vodoravni let morata biti ugotovljena izguba višine in največji kot doseženega vzdolžnega naklona, ko je letalo omahnilo na nos.
Izguba višine pri prevlečenem letu je razlika med višino, na kateri se začne prevlečeni let in višino, na kateri je letalo poravnano v vodoravnem letu.
4. Dokaz izpolnitve zahtev odstavkov 1. do 3. tega CS-UML mora biti izpeljan po sledečih pogojih:
a. zakrilca v vseh možnih pozicijah,
b. podvozje uvlečeno in izvlečeno,
c. letalo trimano na 1,4 VS1 (če ima trimer),
d. pri moči motorja v prostem teku in največji trajni moči.
CS-UML 203 Prevlečen let v zavoju
1. Pri prevlečenem letu v koordiniranem zavoju s 30° nagibom mora biti možno izvlečenje, brez neobvladljivega nagibanja ali neobvladljive težnje k zvrtu.
Nagibanje je neobvladljivo, če se letalo nagne za več kot dodatnih 30°.
2. Izguba višine pri prevlečenju do vrnitve letala v vodoravni položaj mora biti ugotovljena po običajnih postopkih vračanja letala v vodoravni položaj. Ta zahteva mora biti izpolnjena pod pogoji opredeljenimi v CS-UML 201, od 4a do 4d.
CS-UML 207 Opozarjanje pred prevlečenjem
1. Opozorilo prevlečenega leta ni potrebno, če je pri prevlečenem vodoravnem letu:
a. možno krmariti nagib, ko je smerno krmilo v nevtralnem položaju,
b. ni težnje k zvrtu, če so smerno krmilo in krilca ohranjena v nevtralnem položaju.
2. Pri letalu, ki ne izpolnjuje pogoje pod točko 1:
a. Opozorilo za prevlečeni let je potrebno za vodoravni let in zavoj. Pri tem so lahko zakrilca in podvozje v vsakem normalnem položaju.
b. Pri normalnih hitrostih letenja ne sme priti do opozorila za prevlečeni let. Opozorilo pa mora biti pravočasno pred prevlečenjem, da pilot lahko vzpostavi pogoje varnega vodoravnega leta.
c. Opozorilo za prevlečeni let je lahko aerodinamično (na primer tresenje), ali razločno (zvočno, svetlobno) izvedeno z opremo.
CS-UML 233 Smerna stabilnost in krmarljivost
Pri vsaki pričakovani hitrosti vožnje po tleh letalo ne sme imeti neobvladljive težnje uhajanja iz smeri vožnje. Prav tako mora biti letalo med vožnjo smerno krmarljivo.
CS-UML 234 Vzlet in pristanek pri bočnem vetru
Vzletanje in pristajanje letala pri bočnem vetru mora biti preskušeno in opisano v letalnem priročniku.
Ostale zahteve za obnašanje letala
CS-UML 251 Vibracije in drhtenje
Pri vseh hitrostih do vključno VDF, noben del letala ne sme občutneje nihati. V stabilnih atmosferskih pogojih ni dovoljeno tresenje letala, ki bi oviralo krmarjenje, povzročalo slabo počutje potnikov, ali poškodbe ogrodja letala. Tresenje, kot opozorilo za prevlečen let je dovoljeno v določenih mejah. Ta zahteva mora biti izpolnjenja pri ugasnjenem in vključenem motorju za vse dovoljene nastavitve moči motorja.
C. Trdnost
1. Zahteve za trdnost so določene z dopustno obremenitvijo, oziroma največjo pričakovano preobremenitvijo v uporabi in skrajno obremenitvijo, oziroma dopustna obremenitev pomnožena s predpisanim varnostnim faktorjem. Če ni drugače določeno, so predpisane obremenitve mejne dopustne obremenitve.
2. Če ni drugače opredeljeno so vse sile upora tal, vode in zraka v ravnovesju z vztrajnostnimi silami porazdeljene mase letala. Razpored sil mora biti modeliran tako, da odraža dejansko stanje ali varnejši približek.
3. Če upogibi zaradi obremenitve bistveno spremenijo porazdelitev notranjih in zunanjih sil, je potrebno takšno porazdelitev upoštevati.
CS-UML 303 Varnostni faktor
1. Varnostni faktor je 1,5, če ni predpisana drugačna vrednost.
2. Varnostni faktor je lahko pomnožen z dodatni varnostnim faktorjem v naslednjih primerih.
a. Trdnost sestavnega dela ni točno določena.
b. Trdnost se pričakovano zmanjšuje trdnost še pred zamenjavo.
c. Ni točnih podatkov o trdnosti zaradi neznanih proizvodnih ali preskusnih metod. V kolikor element v spodnji tabeli ni naveden, je potrebno elementu za vsak tip letala posebej določiti dodatni varnostni faktor. Zahtevan čas za zamenjavo takšnega dela mora biti naveden v pripadajočem navodilu za uporabo.
d. Dodatni varnostni faktor je potrebno uporabiti pri:
i. sestavljenih obremenitvah izvrtin pri delih, ki se gibajo (niso stisnjeni) in so izpostavljeni sunkom, vibracijam ali kakšni drugi obliki utripne obremenitve,
ii. sestavljenih obremenitvah izvrtin pri sklepih na krmilih,
iii. sestavljenih obremenitvah izvrtin pri sklepih na drogovih pogona krmil, ki se kotno gibljejo (razen sklepov kjer se uporablja valjčni ležaj),
iv. sestavljenih obremenitvah izvrtin pri okovih na pletenicah pogona krmil.
krmilni mehanizmi, kjer je potrebna dodatna varnost | dodatni varnostni faktor | velikost varnostnega faktorja za sestavljene obremenitve jσLB |
drsni spoji, (z zračnostjo, kjer se pojavlja udarna ali utripna obremenitev) | 2,0 | jσLB = 2,0 x 1,5 =3,0 |
spoji krmilnih površin | 4,44 | jσLB = 6,76 |
spoji v krmilnih drogovih | 2,2 | jσLB = 3,3 |
okovja krmilnih pletenic | 1,33 | jσLB = 2,0 |
strojni elementi, kjer je potrebna dodatna varnost | dodatni varnostni faktor | velikost varnostnega faktorja za sestavljene obremenitve ϬBr |
deli iz litin | 2,0 | jBr = 2,0 x 1,5 =3,0 |
Okovja: velja za vse dele okovja; za vse tiste dele ki pritrjujejo in izvrtine obremenjene na bočni tlak (če je ležišče stisnjeno) | 1,15 | jBr = 1,725 |
Pasovi in sedeži | 1,33 | jBr = 1,995 |
CS-UML 305 Trdnost in deformacije
1. Struktura letala mora vzdržati dopustne obremenitve brez poškodb in trajnih deformacij. Obremenitve v dopustnih mejah ne smejo vplivati na varnost delovanja.
2. Struktura mora skrajne obremenitve, preden se poruši, vzdržati vsaj 3 sekunde. Časovni pogoj ne velja za dinamične obremenitvene preskuse, kjer se simulirajo dejanski obremenitveni pogoji.
CS-UML 307 Dokazovanje trdnosti
1. Dokaz zahtev o trdnosti in deformacijah iz CS-UML 305 mora biti izveden za vse kritične obremenitvene pogoje. Analiza trdnosti se lahko uporablja samo v primerih, ko je z izkušnjami potrjena zanesljivost te metode. V nasprotnem primeru morajo biti izvedeni dokazni obremenitveni preskusi.
2. Določene sestavne dele je potrebno preizkusiti glede na zahteve v poglavju D.
Poglavje C ne obsega vseh zahtev v zvezi s trdnostjo.
Trdnostne lastnosti materialov in računske vrednosti
1. Konstrukcijska trdnost uporabljenih materialov, mora biti dokazana z metodo preizkušanja, rezultati pa morajo biti analizirani z ustrezno statistično metodo.
2. Konstrukcijske vrednosti morajo biti izbrane tako, da je verjetnost nezadostne trdnosti nosilnih komponent kot rezultat z materialom povezane razpršenosti (variance) izjemno nizka.
Parametri trdnostnih lastnosti materialov naj bodo določeni ali kot del verifikacijskega procesa ali vzeti iz objavljenih standardov. Pri določanju računskih vrednosti je potrebno, da projektant parametre materiala ustrezno spremeni in/ali razširi v obsegu, kot se zdi potrebno iz razlogov tehnoloških postopkov obdelave materialov (napr. način izdelave ali glede na preoblikovanje, strojno obdelavo ali nadaljnjo termično obdelavo).
3. V kolikor ima v normalnih obratovalnih pogojih temperatura v nosilni komponenti ali ojačitvi trdnosti znaten vpliv na trdnost, se mora tak vpliv upoštevati.
Temperature komponent do 54 °C se štejejo kot normalne obratovalne temperature.
1. Faktor preobremenitve je razmerje med trenutnim vzgonom na krilu in težo letala. Faktor preobremenitve je pozitiven, ko je vzgon na zgornji strani krila.
2. Dokaz izpolnitve zahtev za obremenitve med letenjem je potreben za vse možne razporeditve teže in bremena.
CS-UML 331 Simetrični pogoji letenja
1. Določevanje ravnotežnih obremenitev horizontalnega stabilizatorja mora biti glede na obremenitve krila in vzdolžnih vztrajnostnih obremenitev izpeljano v smislu povečanja varnosti pri vseh določbah simetričnih pogojev letenja od CS UML 331 do CS UML 345.
2. Dodatnim obremenitvam višinskega stabilizatorja zaradi manevra ali udarca vetra mora kljubovati ekvivalentna ali v smislu varnosti večja rotacijska vztrajnost.
3. Izračun obremenitev pri predpisanih pogojih se izvede s predpostavko, da faktor preobremenitve nastane s spreminjanjem vpadnega kota pri konstantni hitrosti. Kotnih pospeškov ni potrebno upoštevati.
4. Aerodinamične veličine kot osnova za določanje obremenitev morajo biti preverjene s preskusi, izračuni ali ocenami v pozitivnem varnostnem smislu.
a. Če ni točnih podatkov, je največji negativni vzgonski količnik za toga krila v običajni obliki za letenje –0,8. Za gibka krila se je treba posvetovati s priznano strokovno ustanovo.
b. Če je ugotovljen koeficient navora Cm0 manjši od ±0,025, je potrebno za krilo in višinski stabilizator uporabiti vsaj –0,025.
V-n diagram (obremenitvena ovojnica)
1. Dokazovanje izpolnjevanja trdnostnih zahtev tega poglavja mora biti izvedeno za vse kombinacije hitrosti in faktorjev preobremenitve znotraj in na obremenitveni ovojnici, ki upošteva manevrsko obremenitveno ovojnico in ovojnico turbulentne atmosfere v odstavku 2 in 3.
2. Manevrska obremenitvena ovojnica (glej sliko 1)
Zakrilca so v vsaki, do VD, dovoljeni poziciji.
3. Obremenitvena ovojnica turbulentne atmosfere (glej sliko 2)
Opomba:
Za letala na električni pogon je pri izračunu obremenitev v turbulentni atmosferi potrebno pri masi praznega letala upoštevati tudi maso baterije.
Zakrilca so v vsaki, do VD, dovoljeni poziciji.
1. Pri načrtovani hitrosti pri največjem udarcu vetra VB mora letalo zdržati pozitivne (navzgor) in negativne (navzdol) udarce vetra s hitrostjo 15 m/s.
2. Pri načrtovani hitrosti strmega leta VD mora UL-letalo zdržati pozitivne (navzgor) in negativne (navzdol) udarce vetra s hitrostjo 7,5 m/s.
CS-UML 335 Načrtovane hitrosti
Načrtovane hitrosti letenja so ekvivalentne hitrosti letenja (EAS).
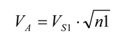
1. Načrtovana manevrska hitrost VA
VS1 = Načrtovana najmanjša hitrost letala z največjo načrtovano maso, z uvlečenimi zakrilci in prostim tekom motorja
n1 = Faktor preobremenitve
2. Načrtovana hitrost z zakrilci VF
a. za vse pozicije zakrilc mora biti VF večja od obeh dveh vrednosti:
i. 1,4 VS1, kjer je VS1 najmanjša načrtovana hitrost letala z največjo načrtovano maso, in uvlečenimi zakrilci.
ii. 1,8 VSF, kjer je VSF najmanjša načrtovana hitrost letala z največjo načrtovano maso, in polno izvlečenimi zakrilci.
3. Načrtovana hitrost strmega leta VD
Načrtovano hitrost strmega leta VD lahko določi prosilec, vendar ne sme biti manjša od 1,2 VH, niti od 1,5 VA iz odstavka 1. VH je največja hitrost v vodoravnem letu pri največji trajni moči motorja.
4. Načrtovana hitrost pri največjem udarcu vetra VB
Načrtovano hitrost pri največjem udarcu vetra lahko določi prosilec, vendar ne sme biti manjša od nobene od sledečih možnosti: VB = 0,9*VH ali VB = VA.
CS-UML 337 Faktorji obremenitve zaradi manevra
Najmanjše vrednosti dopustnih faktorjev preobremenitve manevrske obremenitvene ovojnice (slika 1) so sledeče:
n1 n2 n3 n4 | +4,0 +4,0 –1,5 –2,0 |
Za negativne dopustne faktorje preobremenitev ultralahkih letal z gibkimi krili se je potrebno posvetovati z ustrezno strokovno ustanovo.
Deformacije gibkih kril lahko povzročijo občutne spremembe manevrske obremenitvene ovojnice – točka A ni dosegljiva pod VD. Če je tak primer dokazan, se dopustni faktor preobremenitve zmanjša na največji do VD dosegljivi faktor preobremenitve.
CS-UML 341 Faktorji obremenitve zaradi udarca vetra
Če ni bolj utemeljene strokovne podlage, morajo biti faktorji preobremenitve zaradi udarca vetra izračunani na sledeč način:
Pri tem je:
U = | hitrost udarca vetra [m/s] |
V = | hitrost letala [m/s] |
a = | vzgonski gradient krila [rad-1] |
g = | gravitacijski pospešek [m/s2] |
S = | površina krila [m2] |
lm = | srednja aerodinamična tetiva krila [m] |
ρ0 = | gostota zraka na višini morja [kg/m3] |
| ρ0 = 1,225 kg/m3 |
m = | masa letala [kg] |
k = | |
pri tem je
(relativna masna gostota letala)
Ni potrebno, da dopustni faktor preobremenitve zaradi udarca vetra presega vrednost
CS-UML 345 Obremenitev pri izvlečenih zakrilcih
1. Če so vgrajena zakrilca ali ostale naprave za povečevanje vzgona je izvedbo potrebno načrtovati tako, da je pri polno izvlečeni napravi in hitrosti VF, dopustni faktor preobremenitve 2.0.
2. Pri polnem negativnem odklonu zakrilc morajo biti izpolnjeni pogoji CS-UML 321 in CS-UML 331, ter CS-UML 333 do CS-UML337.
CS-UML 361 Obremenitve nosilca motorja
1. Nosilec motorja in njegova pritrditev morata biti dimenzionirana za sledeče vplive:
a. za navor pri največji vzletni moči motorja in obratih propelerja hkrati s 75 % dopustnega faktorja obremenitve točke A na manevrski obremenitveni ovojnici v CS-UML 333, 2.,
b. za navor pri največji stalni moči motorja in obratih propelerja hkrati z dopustnim faktorjem obremenitve točke A na manevrski obremenitveni ovojnici v CS-UML 333, 2.
c. namesto navora motorja se mora v točkah a. in b. upoštevati navor propelerja, če ima propeler lastni ležaj propelerja.
2. Mejni navor, ki vključuje zahteve iz odstavka 1, se za običajne batne motorje z neposrednim prenosom moči na propeler določi z množenjem srednjega navora z varnostnim faktorjem iz sledeče tabele:
| Dvotaktni motor | Štiritaktni motor |
1 cilinder | 6 | 8 |
2 cilindra | 3 | 4 |
3 cilindri | 2,5 | 3 |
4 cilindri | 1,5 | 2 |
5 in več cilindrov | 1,33 | 1,33 |
Pojem »neposredni« prenos moči pomeni prenos na gredi, preko zobnikov ali jermena. Za ostale prenosne sisteme (npr. sklopka na centrifugalno silo) in neobičajne motorje je varnostni faktor potrebno določiti s pomočjo ustanove, ki preskuša vzorčna letala.
CS-UML 363 Stranske obremenitve na nosilec motorja
Nosilec motorja in vpetje nosilca morata biti načrtovana za predvideno stransko obremenitev s stranskim varnostnim faktorjem, ki znaša najmanj tretjino dopustnega faktorja preobremenitve točke A na manevrski obremenitveni ovojnici

.
Krmilne površine in pogoni krmil
Vsi deli sistema krmil in njegovega njihovo vpetje morajo biti načrtovani vsaj za 125 % predvidenega šarnirnega momenta krmilnih površin, določenih v CS-UML 423, CS-UML 441 ter CS-UML 455.
CS-UML 397 Obremenitve zaradi sil pilota
Vsi deli sistema krmil letala za neposredno krmarjenje okrog vzdolžne, prečne in vertikalne osi (sistem glavnih krmil) in drugi sistemi krmil, ki vplivajo na obnašanje letala v letu, njihova vpetja in omejevalniki gibanja, morajo biti za sile ki jih povzroča pilot, načrtovani skladno s spodnjo tabelo:
pogon za krmarjenje | pilotova sila na pogon daN | način prenosa sil (enostaven vzvodni sistem) |
višinsko krmilo | 35 | Poteg in potisk na palici |
pogon krmilo za krilca | 20 | Stransko prečno gibanje palice |
smerno krmilo | 90 | Potisk naprej na pedal |
Za neobičajne sisteme krmarjenja (npr. na strani pritrjena krmilna palica) lahko pristojni letalski organ za ugotavljanje skladnosti dopusti manjše sile, če se lahko dokaže, da v tabeli navedenih sil pilot ne more povzročiti.
CS-UML 399 Dvojno krmilje
Dvojno krmilje mora biti dimenzionirano:
1. za sočasno krmarjenje v istih smereh,
2. za sočasno krmarjenje v nasprotujočih smereh,
pri čemer vsak pilot obremenjuje krmilje s 75 % sile navedene v CS-UML 397.
CS-UML 405 Sekundarno krmilje
Sekundarno krmilje so pogoni za dvig in spust podvozja, trimanje itd. in morajo biti načrtovani za največje pričakovane sile, ki jih pilot lahko povzroči.
Pričakovane sile rok in nog naj ne bi bile manjše od:
Sile na majhna ročna kolesa, ročice itd., ki se upravljajo samo s prsti in zapestjem: P = 15 daN
Sile na vzvode in ročna kolesa, ki se upravljajo z roko brez uporabe teže telesa: P = 35 daN
Sile na vzvode in ročke, ki se upravljajo z dodatno oporo roke ali s pomočjo teže telesa: P = 60 daN
Sile nog z oporo v sedež (npr. sila noge pri zaviranju): P = 75 daN.
CS-UML 411 Togost krmilja
Elastični raztezek pogona višinskega in smernega krmila, pogona krilc in zakrilc je potrebno izmeriti. Raztezek ne sme presegati 25 % celotnega hoda pogona. Za meritev je potrebno pilotsko palico učvrstiti v nevtralnem položaju in krmilno površino obremeniti z največjim navorom, ki ustreza CS-UML 395. Pri zakrilcih je potrebo ročico pogona postaviti v ustrezen položaj.
Horizontalne repne površine (Višinski stabilizator)
CS-UML 421 Osnovne obremenitve
1. Osnovne obremenitve višinskega repa so tiste obremenitve, ki so potrebne za vzdrževanje ravnovesnega leta v katerem koli položaju brez vzdolžnih kotnih pospeškov.
2. Višinski rep mora biti načrtovan za tiste osnovne obremenitve, ki se pojavijo na poljubni točki obremenitvene ovojnice in za položaje zakrilc opredeljene v CS-UML 335 in CS-UML 345.
CS-UML 423 Obremenitve zaradi krmarjenja
Višinski rep mora biti načrtovan za najhujše možne obremenitve, ki se lahko pojavijo pri krmarjenju z višinskim krmiom pri vseh hitrostih do VD.
Obremenitve morejo biti ugotovljene za sunkovit odklon višinskega krmila, pri čem je treba upoštevati sledeče primere:
1. hitrost VA, poln odklon navzgor
2. hitrost VA, poln odklon navzdol
3. hitrost VD tretjina polnega odklona navzgor
4. hitrost VD tretjina polnega odklona navzdol
1. letalo pred izvedbo manevra leti v vodoravnem letu.
2. obremenitve so uravnovešene s silami inercije.
CS-UML 425 Obremenitve zardi udara vetra
Če ni bolj utemeljene strokovne podlage, morajo biti sile na višinski rep izračunane na sledeč način:
Pri tem je:
CS-UML 427 Nesimetrične obremenitve
Če je vpliv toka za propelerjem na obremenitve krilnih in krmilnih površin pričakovan, ga je potrebno upoštevati.
Vertikalne repne površine (Smerni stabilizator)
CS-UML 441 Obremenitve zaradi krmarjenja
Smerni stabilizator mora biti načrtovan za obremenitve pri krmarjenju, ki nastanejo pri sledečih pogojih:
1. poln odklon smernega krmila pri hitrosti VA,
2. tretjino polnega odklona smernega krmila pri hitrosti VD.
CS-UML 443 Obremenitve zaradi udara vetra
1. Smerni stabilizator mora biti načrtovan za stranske udarce vetra iz CS-UML 333.
2. Če ni bolj utemeljene strokovne podlage, morajo biti sile na smerni stabilizator izračunane na sledeč način:
Pri tem je:
PS = | obremenitev zaradi udara vetra na smerni stabilizator [N] |
ρ0 = | 1,225 kg/m3 gostota zraka na gladini morja v kg/m3 |
SS = | površina smernega stabilizatorja [m2] |
aS = | vzgonski gradient smernega stabilizatorja [rad-1] |
U = | hitrost udara vetra [m/s] |
kS = | mnogokratnik udara vetra, ki se ga določi na 1,2 |
V = | hitrost letenja [m/s] |
CS-UML 444 Vzdignjen višinski stabilizator
1. Pri izvedbi kjer je višinski stabilizator pritrjen na smerni stabilizator je potrebno pritrditev višinskega stabilizatorja, površino višinskega stabilizatorja, in zadnji del trupa načrtovati za predpisane obremenitve na smerni stabilizator in moment okrog vzdolžne osi letala induciran zaradi nagiba višinskega stabilizatorja, ki deluje v isto smer.
2. V primeru T-repa se, razen če ni izveden bolj točen preračun, induciran navor zaradi udarca vetra približno določi na sledeč način:
Pri tem je:
MR0 = | induciran navor zaradi nagiba [Nm] |
SH = | površina višinskega repa [m2] |
bH = | razpetina višinskega repa [m] |
Dodatni pogoji za repne površine
CS-UML 447 Superpozicija obremenitev na repu
1. Med obremenitvijo letala od točke A do točke D manevrske obremenitvene ovojnice je potrebno pri obremenitvi višinskega repa sočasno upoštevati obremenitve smernega repa iz CS-UML 441.
2. Hkrati je potrebno upoštevati 75 % obremenitve iz CS-UML 423 (višinski rep), in obremenitve iz CS-UML 441 (smerni rep).
3. Pri ultralahkih letalih z V repom je treba pri hitrosti VB računati s sunkom vetra, ki je pravokoten na eno od površin repa.
Krilca morajo biti načrtovana za tiste obremenitve krmarjenja, ki nastanejo v sledečih primerih:
1. letalo je pri polnem odklonu krilc in hitrosti VA izpostavljeno faktorju obremenitve n=2,66.
2. letalo je pri tretjini polnega odklona krilc in hitrosti VD izpostavljeno faktorju obremenitve n=2,66.
Obremenitve zaradi sil tal
Mejne vrednosti obremenitev strukture letala zaradi sil tal se obravnavajo kot ravnovesje med zunanjimi in vztrajnostnimi silami. V vseh primerih morajo biti zunanje sile za ravnovesje z linearnimi in rotacijskimi vztrajnostnimi silami določene tako, da odražajo dejansko stanje ali varnejši približek.
CS-UML 473 Predpostavke obremenitev glavnega podvozja zaradi sil tal
1. Zahteve za obremenitve glavnega podvozja morajo biti izpolnjene za največjo načrtovano maso.
2. Faktor navpične vztrajnostne preobremenitve, pri silah s prijemališčem v masnem središču letala, ne sme biti manjši od faktorja preobremenitve ki nastane ob dotiku pri hitrosti padanja:
pri čemer ni potrebno, da je hitrost padanja večja od 3 m/s, vendar ne sme biti manjša od 1,5 m/s.
3. Predpostavljena velikost sile vzgona ob dotiku tal, s prijemališčem v masnem središču, je 2/3 sile teže letala. Faktor pristajalne vztrajnostne preobremenitve je lahko faktor navpične vztrajnostne preobremenitve, zmanjšan za razmerje med vzgonom in težo letala.
CS-UML 479 Pogoji pristajanja za glavno podvozje
Pri izravnanem pristanku se predpostavlja, da letalo leti v vodoravnem letu. Navpični komponenti zunanje sile mora biti vektorsko prišteta tudi vodoravna komponenta, ki po absolutni vrednosti ne sme biti manjša od 25 % absolutne vrednosti navpične komponente, pri kateri vzgon ni upoštevan.
CS-UML 481 Pogoji pristajanja za podvozje z repnim kolesom
Pri načrtovanju nosilne konstrukcije zadnjega podvozja, repa in vpetja za uteži, je potrebno za pristanek na zadnje kolo (glavni kolesi v zraku) upoštevati sledeče:
Pri tem je:
P = | obremenitev na zadnje podvozje [N] |
m = | masa letala [kg] |
g = | gravitacijski pospešek [m/s2] |
iy = | vztrajnostni radij letala [m] |
L = | razdalja zadnjega podvozja od težišča letala [m] |
Če iy ni določen v bolj natančnem postopku, ga lahko izračunamo tako:
V tem primeru je LR celotna dolžina trupa brez smernega krmila.
CS-UML 499 Pogoji pristajanja za nosna kolesa
Pri določevanju obremenitev sprednjega kolesa in nosilne strukture zaradi sile dotika tal, pri predpostavki, da so amortizerji in gume v mirovni legi, je potrebno upoštevati sledeče pogoje:
1. Za obremenitve v nasprotni smeri letenja je mejna absolutna vrednost sil na osi kolesa naslednja:
a. navpična komponenta je stojna sila na kolo množena s faktorjem 2,25,
b. vodoravna komponenta v nasprotni smeri letenja je navpična komponenta množena s faktorjem 0,8.
2. Za obremenitve v smeri letenja je mejna absolutna vrednost sil na osi kolesa naslednja:
a. navpična komponenta je stojna sila na kolo množena s faktorjem 2,25,
b. vodoravna komponenta v smeri letenja je navpična komponenta množena s faktorjem 0,4.
3. Za stranske obremenitve je mejna absolutna vrednost sil na osi kolesa naslednja:
a. navpična komponenta je stojna sila na kolo množena s faktorjem 2,25,
b. stranska komponenta je navpična komponenta množena s faktorjem 0,7.
Pogoji za pristanek v sili
(a) Čeprav je letalo pri zasilnemu pristanku lahko poškodovano, mora biti grajeno skladno s predpisi te CS-UML, da zaščiti potnika v spodaj navedenih pogojih.
(b) Struktura letala mora biti grajena tako, da nudi vsakemu potniku zaščito pred poškodbami zaradi zasilnega pristanka pod naslednjimi pogoji:
– varnostno pasovje je bilo pravilno uporabljeno,
– udeleženec je pri zasilnem pristanku izpostavljen naslednjim pojemkom:
(c) Posode za gorivo morajo vzdržati v (b) navedene pojemke, brez puščanja.
(d) Če je motor vgrajen za posadko mora nosilec motorja ali podporna struktura prevzeti obremenitve pojemkov opredeljenih v (b). Deformacije so dovoljene.
CS-UML 597 Obremenitve zaradi posameznih mas
Pritrditve predmetov, ki sodijo k opremi letala, tudi uteži za korekcijo težišča, morajo biti načrtovane skladno s predpisi za obremenitve med letenjem, pristajanjem in pristankom v sili kot je opredeljeno v CS-UML 561.
D. Projektiranje in izdelava
Trdnost delov, ki pomembno vplivajo na varnost uporabe, in je ni mogoče dokazati s preračuni, mora biti dokazana s preizkusi.
Ustreznost in trdnost materialov uporabljenih za obremenjene dele mora:
(a) bazirati na izkušnjah ali biti dokazana s testi in izpolnjevati priznan nabor zahtev za posamezen material (specifikacije),
(b) zagotoviti, da imajo materiali ustrezno trdnost in vse lastnosti, ki so bile predpostavljene v projektu.
CS-UML 605 Postopki izdelave
Postopki izdelave morajo zagotavljati ponovljivo proizvodnjo in brezhibnost sklopov. Če je za doseganje zahtev potrebno postopke (na primer lepljenje, točkovno varjenje, povezovanje, toplotna obdelava, izdelava okrepljene plastične mase) strogo nadzorovati, morajo biti postopki predpisani in odobreni. Novi postopki morajo temeljiti na preizkusih.
CS-UML 607 Varovanje spojnih elementov
Vsi spojni elementi glavnega ogrodja letala, pogona krmil in mehanskih sklopov, ki so ključnega pomena za varno uporabo, morajo biti varovani z odobrenimi metodami varovanja, z ustreznimi varovali. Samozaporne matice ne smejo biti uporabljene za varovanje sornikov, ki se med uporabo vrtijo. Uporaba samozapornih matic na sornikih je izjemoma dovoljena z dodatno uporabo drugih varovalnih mehanizmov, ki ne temeljijo na principu samovarovanja.
CS-UML 609 Zaščita komponent
Vsak del nosilne strukture letala mora zadostiti naslednjim zahtevam:
(a) biti mora ustrezno zaščiten pred škodljivimi vplivi in zmanjševanju trdnosti zaradi kakršnihkoli vzrokov, vključno z zaščito pred preperevanjem, korozijo in obrabo;
(b) vsebovati mora zadovoljive rešitve za prezračevanje in odtekanje vode.
CS-UML 611 Zagotavljanje dostopnosti za izvajanje pregledov
Dostopnost do glavnih sestavnih delov strukture in pogona krmil mora biti zagotovljena tako, da se posamezne dele lahko pregleduje, popravlja, zamenjuje, nastavlja, podmazuje in oskrbuje.
CS-UML 612 Pripravnost za sestavljanje in razstavljanje
Letalo mora biti grajeno tako, da ga ni možno neopazno poškodovati, če ga sestavljajo neusposobljene osebe, oziroma je možnost prikritih poškodb izredno majhna. Napačno sestavljanje je potrebno preprečevati z ustreznimi oblikovnimi rešitvami. Pravilna sestavljenost letala mora biti na lahek način preverljiva.
CS-UML 627 Utrujanje materiala in dinamična trdnost
Pri načrtovanju ogrodja letala se je v največji možni meri potrebno izogibati pojavu koncentriranih obremenitev na mestih, kjer obstaja velika verjetnost, da se bo med normalno uporabo pojavila utrujenostna porušitev.
CS-UML 629 Preprečevanje frfotanja in trdnost strukture
1. Na letalu se ne sme pojaviti frfotanje, divergenca krila ali obrat krmil v katerikoli obliki za letenje in pri nobeni dovoljeni hitrosti, vključno do VD. Deformacije ogrodja ne smejo nevarno vplivati na krmilni sistem in stabilnost letala. V območju dovoljenih hitrosti morajo biti aeroelastična nihanja močno dušena.
2. Dokaz skladnosti z zahtevami prvega odstavka mora biti izveden na naslednji način:
a. s sistematičnimi preskusi vzbujanja frfotanja pri hitrostih do VDF, je potrebno dokazati ustrezno dušenje, brez skokovitih prehodov dušenja pri hitrosti VDF.
b. s preskusnimi poleti in približevanjem VDF je potrebno dokazati, da se učinkovitost krmilnih površin po vseh treh oseh ne zmanjšuje skokovito in da ni znakov divergence krila, repa in strukture, ki bi vplivala na statično stabilnost in ravnovesne pogoje trimanja.
c. pri letalih, ki imajo VD večjo od 200 km/h, je potrebno najprej z analitičnimi metodami in nihajnimi preskusi na tleh določiti lastne frekvence nihanja in okoliščine pri katerih bi se v hitrostnem območju do 1,2*VD pojavilo frfotanje.
1. Krmilne površine in njihova vpetja se med seboj ne smejo ovirati. V primeru, da je ena krmilna površina učvrščena v poljubnem položaju, mora biti druga prosto gibljiva v celotnem območju odklona. Ta zahteva mora biti izpolnjena tudi za:
a. mejne dopustne obremenitve (pozitivne ali negativne) za vse krmilne površine v celotnem območju odklona,
b. mejne dopustne obremenitve ostalih delov in ogrodja letala.
2. Če je stabilizator gibljiv mora biti hod omejen na način, da je zagotovljena varnost letenja in pristajanja.
CS-UML 659 Masno uravnoteženje
Ogrodje in vpetje za uteži krmilnih površin mora biti načrtovano za naslednje mejne dopustne obremenitve:
1. 24 g pravokotno na krmilno površino
2. 12 g naprej in nazaj
3. 12 g v smeri šarnirne osi
Vsako krmilje mora biti lahko in tekoče vodljivo ter učinkovito.
1. Krmilje mora imeti omejilnike za omejevanje odklona vsake krmilne površine.
2. Omejilniki morajo biti nameščeni tako, da spremembe hoda krmilne površine zaradi obrabe, zračnosti ali vnovičnih nastavitev nimajo negativnega vpliva na krmarljivost.
3. Vsak omejilnik mora prenašati načrtovane obremenitve krmilja.
4. Za krmilja, ki delujejo na principu premikanja težišča in pri katerih ni možno vgraditi omejilnikov za omejevanje odklonov je potrebno dokazati, da v območju premikanja masnega središča ogrodja letala ni možno preobremeniti.
CS-UML 677 Sistemi za trimanje
1. Zagotoviti je potrebno vse, da ne pride do nenamerne, napačne ali nepričakovane uporabe trimerja. Mehanizem za upravljanje trimerja mora biti opremljen z oznakami za ustrezen odziv letala in položajem glede na celotno območje nastavitve. Oznake morajo biti vidne in nedvoumne.
2. Nedotaknjene pomožne krmilne površine morajo ohranjati svoj ravnotežni položaj in ne smejo povzročati frfotanja. Izvedba in pritrditev nepovratnih sistemov za trimanje mora biti ustrezno toga in zanesljiva.
CS-UML 679 Zapora krmilja
Če ima letalo vgrajeno zaporo krmilja na tleh, mora krmilje vsebovati:
1. nedvoumno opozorilo pilotu, da je zapiralo vklopljeno,
2. ukrepe proti samodejnemu vklopu med letom.
CS-UML 683 Funkcionalni preizkusi krmilja
S funkcionalnimi preizkusi mora biti dokazano, da krmilje v CS-UML 397 in CS-UML 399 deluje brez:
1. zatikanja,
2. velikega trenja,
3. velikega upogiba,
če se s krmiljem upravlja iz pilotske kabine.
CS-UML 685 Sestavni deli krmilja
1. Vsi sestavni deli krmilja morajo biti oblikovani in vgrajeni tako, da ne pride do zatikanja, drgnjenja in oviranja delovanja zaradi prtljage, potnikov, nepritrjenih predmetov, potnikov, ali zmrzali.
2. Pilotska kabina mora vsebovati ukrepe za preprečevanje uhajanja tujkov v kotičke, kjer bi se zatikali v krmilje.
3. Vsi sestavni deli krmilja morajo biti oblikovani ali jasno označeni tako, da je možnost napačne montaže, ki bi povzročila napačno delovanje, minimalna.
CS-UML 687 Vzmetni deli krmilja
Zanesljivost vseh v krmilju uporabljenih vzmeti mora biti preverjena s preskusi, s katerimi se posnemajo dejanski pogoji uporabe, razen če odpoved vzmeti ne povzroči frfotanja ali ne ogroža varnosti letenja.
1. Vse pletenice, priključna mesta, napenjalci, spojke in škripčevje morajo ustrezati predpisanim specifikacijam. Pri tem velja:
a. vse pletenice morajo biti napeljane tako, da med obratovalnimi pogoji pri temperaturnih spremembah ne pride do nevarne spremembe napetosti v celotnem območju hoda,
b. vsi uvodniki, škripčevje, končniki in napenjalci morajo biti dostopni za vizualni pregled.
2. Velikost in tip vsakega škripca morata biti pletenici prilagojena. Vsi škripci morajo biti opremljeni z varovali, ki preprečujejo zdrs pletenice iz utora tudi v primeru, ko je vrv razrahljana. Vsak škripec mora biti nameščen v ravnini zanke, da se pletenica ne drgne ob prirobnico škripca.
Notranji premer utora škripca ne sme biti manjši od 300-kratnika premera ene žičke v pletenici.
3. Vodila morajo biti vgrajena tako, da ne pride do spremembe smeri pletenice za več kot 3° razen, če je s preskusi ali izkušnjami dokazano, da je dopusten tudi večji kot. Radij krivine vodila ne sme biti manjši od radija škripca.
V teflonskih vodilih ali vodilih iz ekvivalentne snovi, se smer pletenice lahko spremeni do 10°.
4. Napenjalci morajo na biti na osno gibljive dele pritrjeni tako, da ne prihaja do naslona v celotnem območju hoda.
CS-UML 697 Krmilje zakrilc
1. Krmilje zakrilc mora biti oblikovano tako, da zakrilca obstanejo v položaju, potrebnem za dokazovanje zmogljivosti gradbenih zahtev razen, če ga premika pilot ali se izkaže, da prosto gibanje ni nevarno.
2. Krmilje mora biti zasnovano tako, da onemogoča nenamerno izvlečenje ali odklon zakrilc. Sila potrebna za upravljanje in hitrost premikanja pri vsaki dovoljeni hitrosti ne smeta ogrožati varnosti letenja.
CS-UML 701 Medsebojna povezava zakrilc
Premikanje zakrilc na obeh straneh simetrijske ravnine mora biti sočasno, izvedeno z mehansko povezavo razen, če ima letalo varne letalne lastnosti tudi pri nesimetrični uporabi zakrilc.
Letalo mora biti zasnovano tako, da je možno varno pristati na kratki travnati stezi.
Projektiranje pilotske kabine
CS-UML 771 Pilotska kabina splošno
Pilotska kabina in njena oprema morajo pilotu omogočiti opravljanje nalog brez nepotrebnega naprezanja ali utrujanja.
CS-UML 773 Vidljivost iz pilotske kabine
Pilotska kabina ne sme bleščati ali odsevati tako, da bi pilotu zastirala razgled. Poleg tega mora biti zasnovana tako, da:
1. je območje razgleda za pilota dovolj veliko, jasno in brez popačenj,
2. ščiti pilota pred drobci; dež in zaledenitev ne smeta pretirano ovirati pogleda vzdolž smeri med letenjem in pristajanjem.
V zvezi z 2. točko se skladnost lahko zagotovi z možnostjo odpiranja okna na pilotski strani.
CS-UML 775 Vetrobran in okna
Vetrobran in okna morajo biti grajena iz snovi ki s časom ohranjajo prozornost in katerih drobci v primeru razbitja ne povzročajo resnih poškodb.
CS-UML 777 Krmilje v pilotski kabini
1. Vsa krmilja v pilotski kabini morajo biti razporejena tako je zagotovljena prikladnost, ni zavajajoča in onemogoča uporabo po pomoti.
2. Ročice krmilja morajo biti priročne tudi, ko je pilot privezan. Krmilje mora biti neovirano opravljivo do polnih odklonov tudi takrat, ko je pilot oblečen v zimska oblačila. Prav tako upravljivost krmilja ne sme ovirati sama vsebina pilotske kabine.
3. V letalih s podvojenim krmiljem mora biti sledeče sekundarno krmilje upravljivo z obeh sedežev:
a. ročica za nastavitev moči motorja,
d. naprava za odpiranje in odmetavanje pokrova kabine,
f. krmilje mora ohranjati nastavljeno lego, se ne sme premikati zaradi obremenitev in vibracij tako, da pozornost pilota ni potrebna.
Če je letalo opremljeno z napravo za trimanje, se lahko zahteva, da mora biti krmilje trimerja podvojeno opusti, kadar so sile za krmarjenje dovolj majhne v najbolj neugodnem položaju trimerja in ni težav s krmarjenjem.
CS-UML 779 Smeri pomikov in učinki krmilja v pilotski kabini
1. Krmilni sistemi in ročice v prostoru za pilota morajo biti oblikovane tako, da delujejo na sledeč način:
Primarno krmilje | Smer pomika in učinek |
nagiba | v desno (v smeri urinega kazalca): desno krilo navzdol |
višine | nazaj: nos navzgor |
smeri | desni pedal naprej: nos desno |
Sekundarno krmilje | Smer pomika in učinek |
za trimanje | v isti smeri kot posamezni pogoni primarnega krmilja |
zakrilc | poteg: zakrilca se izvlečejo ali odklonijo navzdol |
moči motorja | naprej: povečanje moči motorja |
kota propelerja | naprej: povečanje obratov |
gorivne mešanice | naprej ali navzgor: obogatitev |
stikal | navzdol: izključeno |
reševalne naprave | poteg: reševalna naprava se sproži |
2. Za letala, ki nimajo aerodinamičnega primarnega krmilja morajo biti smeri pomika opisane v letalnem priročniku letala. Sekundarno krmilje mora imeti predpisane smeri pomika prejšnjega odstavka.
CS-UML 780 Barvne oznake krmilja v pilotski kabini
Krmilje za upravljanje reševalnih naprav mora biti rdeče obarvano.
CS-UML 785 Sedeži in varnostni pasovi
1. Vsak sedež in njegovo ogrodje morata biti načrtovana za maso potnika z najmanj 110 kg in načrtovana na mejne dopustne faktorje preobremenitev med letenjem, pristanku in pristankom v sili opisanem v CS-UML 561.
2. Sedeži in blazine se med obremenitvami iz oglavja C, podpoglavja »Obremenitve med letenjem« ne smejo deformirati tako, da pilot nebi imel dosega za varno ali pravilno uporabo krmilja v pilotski kabini.
3. Trdnost pasovja ne sme biti manjša od tiste, ki vzdrži vse dopustne faktorje obremenitev v letu, pristanku in pristanku v sili, pri čemer je potrebno upoštevati obliko in namestitev pasovja glede na sedež.
4. Vsak potnik mora imeti štiridelno pasovje. Vsak pas mora biti pritrjen tako, da potnik pri vseh pospeških ki nastanejo pri letenju in pristanku v sili ostane naslonjen v prvotnem sedečem ali ležečem položaju.
CS-UML 786 Zaščita proti poškodbami
Izpostavljeni deli ogrodja letala ali pritrjene opreme morajo biti oblazinjen zaradi zaščite pred možnimi poškodbami potnikov v primeru manjših letalskih nezgod.
CS-UML 787 Prostor za prtljago
1. Vsak prostor za prtljago mora biti zasnovan skladno z označeno največjo nosilnostjo in najbolj neugodno razporeditev tovora pri največjih dopustnih faktorjih preobremenitve med letom in pri pristanku, navedenih v teh zahtevah.
2. Prostor za prtljago mora biti oblikovan tako, da so potniki zaščiteni pred poškodbami zaradi naleta prtljage naprej najmanj za pojemek 9.0 g.
1. Prostor za pilota mora biti oblikovan tako, da lahko posadka v nevarnih slučajih brez ovire hitro izstopi.
2. Odpirala morajo biti zasnovana za enostavno in lahko odpiranje. Delovati morajo hitro, dosegljiva morajo biti vsakemu pripetemu potniku v kabini in od zunaj.
1. Pilotska kabina mora biti oblikovana tako, da jo je možno pri običajnih pogojih letenja ustrezno prezračevati.
2. Koncentracija ogljikovega monoksida ne sme preseči razmerja z zrakom, ki je manjši od 1: 20 000.
3. Pri odprti ali nezaščiteni pilotski kabini je potrebno zagotoviti, da posadka ne vdihava izpušnih plinov motorja.
CS-UML 857 Izenačevanje elektrostatičnih potencialov
Z električnim povezovanjem posameznih delov letala, pogonske enote, rezervoarjev in ostalih ključnih prevodnih delov ultralahkega letala, ki po svoji masi niso zanemarljivi, mora biti onemogočen nastanek različnih elektrostatičnih potencialov.
E. Pogonska skupina
CS-UML 901 Definicija in vgradnja
1. Prosilec mora dokazati, da je izbrana kombinacija motorja, izpušnega sistema, propelerja in letala za katerega je vložena prošnja za izdajo potrdila o ustreznosti, primerna oziroma, kombinacija dobro deluje in je v predpisanih mejah varna za uporabo.
2. Pogonski sistem vsebuje vse dele ki:
b. vplivajo na varnost pogonske enote.
3. Pogonski sistem mora biti narejen, razporejen in vgrajen tako, da:
b. da je dostopen za preglede in vzdrževanje.
Kot dokaz skladnosti se prizna naslednji preskus, ki traja najmanj 3 ure:
– prvo uro deluje motor s 75 % največje trajne moči;
– sledi cikel po naslednjem postopku:
– 10 krat vžig in ugašanje, vžig in 5 minut prostega teka,
– 5 minut obratovanja na polni moči,
– 5 minut hlajenja v prostem teku,
– 5 minut obratovanja na polni moči,
– 5 minut hlajenja v prostem teku,
– 15 minut obratovanja 75 % največje trajne moči,
– 5 minut hlajenja v prostem teku,
– 15 minut obratovanja na polni moči.
Motor se po opravljenem ciklu ugasne. Ko je motor ohlajen se cikel ponovi. Po opravljenem preskusu ne sme biti na ogrodju pogonskega sistema in strukturi letala nobene poškodbe, ki bi vplivala na varnost letenja.
Ustreznost motorja mora biti dokazana v okviru dokazovanja ustreznosti ultralahkega letala, ali z lastnim postopkom dokazovanja ustreznosti.
Če je se ustreznost motorja dokazuje v okviru dokazovanja ustreznosti določenega tipa letala, je trajnostni preizkus motorja lahko izpeljan v okviru 50 urnega preizkusa v letu tega tipa letala.
Preskusni poleti vsebujejo najmanj:
– 10 poletov s trajanjem najmanj ene ure,
– 60 vzponov na najmanj 500 m višinske razlike, pri čemer mora največja vzletna moč brez prekinitve trajati vsaj 5 minut, od teh mora biti vsaj 30 izvedenih pri poletnih temperaturah (T > 20°C) pri tleh.
Pri načrtovanju vgradnje motorja je potrebno slediti predpisom proizvajalca.
Dodatno za električne pogonske motorje:
Tekom trajnostnega preizkusa mora biti ugotovljena poraba energije in poraba moči na posameznih ravneh moči delovanja.
Če so nameravane vrednosti (napr. temperature) tekom testiranja presežene, morajo biti opredeljene primerne omejitve takih vrednosti.
CS-UML 925 Varnostni odmiki propelerja
Propelerji brez zaščite morajo imeti pri največji vzletni masi letala, najbolj neugodni legi masnega središča in neugodnem kotu koraka, naslednje varnostne odmike:
1. Varnostna odmik do tal;
Odmik med propelerjem in tlemi mora biti najmanj 170mm. Pri tem mora biti vzmetenje podvozja v mirovni legi, podvozje pa v vzravnanem položaju, položaju za pristajanje ali vožnjo po tleh, oziroma tistem položaju, ki je najbolj neugoden. Varnostni odmik mora biti zagotovljen tudi v vzravnanem položaju pred vzletanjem, če je:
a. kritična pnevmatika brez tlaka, pripadajoče vzmetenje podvozja pa v mirovni legi,
b. kritično vzmetenje podvozja do konca skrčeno, pripadajoča pnevmatika pa v mirovnem položaju.
2. Odmik do delov letala;
a. Najmanj 25 mm radialnega odmika med konicami propelerja in deli letala z dodatno varnostno razdaljo zaradi nihanja, še posebej pri elastičnem vpetju,
b. najmanj 13 mm aksialnega odmika med kraki propelerja, glavo propelerja in ostalimi deli letala,
c. pri vseh obratovalnih pogojih mora obstajati varnostni odmik med ostalimi deli propelerja ali spinerja in deli letala,
3. Oddaljenost od posadke;
Oddaljenost propelerja od posadke mora biti takšna, da privezan nihče ne more doseči propelerja.
1. Gorivni sistem mora biti izdelan tako, da pod vsemi običajnimi obratovalnimi pogoji zagotavlja ustrezen pretok in tlak goriva za nemoteno delovanje motorja.
2. Gorivni sistem mora biti projektiran tako, da gorivna črpalka vedno črpa gorivo samo iz ene posode. Gorivni sistemi, ki imajo dotok izveden na metodi prostega padca mora dovajati gorivo samo iz ene posode razen, če je med posodama narejena povezava, ki zagotavlja enak dotok iz obeh posod.
Gorivni sistem mora biti projektiran tako, da preprečuje nastanek mehurjev hlapov.
1. Dovod na metodi prostega padca:
Pretok mora ustrezati 150 % porabi goriva pri največji vzletni moči motorja.
2. Dovod s črpalko:
Pretok mora ustrezati 125 % porabi goriva pri največji vzletni moči motorja.
CS-UML 959 Neuporabno gorivo
1. Prostornina neuporabnega goriva ne sme biti manjša od tiste, ki pri najbolj neugodnih pogojih dovajanja goriva, kot so vzletanje, vzpenjanje, dolet ali pristanek, že povzroča opazne motnje. Prostornina neuporabnega goriva ne sme biti večja od 5 % prostornine posode.
CS-UML 963 Posode za gorivo – splošno
1. Posode za gorivo morajo zdržati obremenitve zaradi vibracij, vztrajnosti, teže goriva, ogrodja letala, ki je izpostavljeno vibracijam, obremenitve zaradi vztrajnosti, obremenitve tekočin in zunanjih sil, katere nastanejo pri uporabi letala.
2. Če se lahko težišče letala znatno spremeni zaradi pljuskanja goriva, je treba vgraditi napravo, ki zmanjša pljuskanje na sprejemljivo mero.
CS-UML 965 Preizkušanje posod za gorivo
Posoda za gorivo mora ohranjati nepropustnost do tlaka 1 1/2 psi (0.1 bar).
CS-UML 967 Vgradnja posod za gorivo
1. Posoda za gorivo mora biti nameščena tako, da teža goriva ne povzroča točkastih obremenitev posode. Poleg tega je potrebno:
a. stike oblaziniti, da se prepreči drgnjenje posode na podporno ogrodje,
b. za podporno ogrodje in oblazinjenje uporabiti snovi, ki goriva ne vpijajo.
2. Zaradi preprečevanja zbiranja vnetljivih tekočin in plinov mora imeti prostor, v katerega je vgrajena posoda za gorivo, urejeno prezračevanje in drenažo. Sosednji prostori morajo imeti prav tako urejeno lastno drenažo in prezračevanje.
3. Posoda za gorivo ne sme biti vgrajena na motorski strani požarne pregrade. Med požarno pregrado in gorivno posodo mora biti najmanj 15 mm razmika.
4. Če je posoda za gorivo nameščena v kabini mora biti zagotovljeno ustrezno prezračevanje in drenaža. Posoda za gorivo ne sme ovirati posadke letala ali delovanja katerega koli dela letala. Drenirano gorivo ne sme kapljati na posadko letala.
5. Gorivni sistem mora biti zasnovan tako, da v primeru zasilnega pristanka, ki se zgodi v mejah predvidenih preobremenitev ogrodja letala za pristanek v sili, ali pri lomu podvozja ne pride do porušitve posode ali napeljave za gorivo.
CS-UML 971 Posode za gorivo
1. Vsaka posoda za gorivo mora imeti zbiralnik z drenažo, ki ima v vodoravnem položaju letala na tleh ali v zraku učinkovito prostornino 0,1 % prostornine gorivnega rezervoarja ali 120 cm3. Upošteva se večjo prostornino. Če posoda za gorivo zbiralnika nima:
a. mora gorivni sistem vsebovati odvod v dostopen zbiralnik z drenažo prostornine najmanj 25 cm3,
b. mora biti v vsaki gorivni posodi odvod nameščen tako, da se v vodoravnem položaju letala voda iz vseh delov posode za gorivo odteka v zbiralnik,
c. drenaža mora biti dostopna in enostavna za uporabo.
2. Drenaža gorivnega sistema mora imeti ročno ali samodejno varovalo za zaklepanje v zaprtem položaju.
CS-UML 973 Odprtina za dotakanje goriva na posodah za gorivo
Odprtina za dotakanje goriva na posodah za gorivo ne sme biti nameščena v kabini posadke. Razlito gorivo ne sme odtekati v okolico gorivne posode ali kamorkoli drugam v notranjost letala, razen v posodo za gorivo.
CS-UML 975 Odzračenje posod za gorivo
Vsaka posoda za gorivo mora imeti zračnik čim bližje najvišji točki posode, oziroma v zgornjem delu prostora za raztezek. Hkrati mora biti:
1. zračnik oblikovan in nameščen tako, da je možnost zamašitve zaradi zaledenitve ali tujkov čim manjša,
2. zračnik oblikovan tako, da je med običajnim obratovanjem onemogočeno izsesavanje goriva,
3. odzračenje speljano ven iz letala.
CS-UML 977 Gorivna sita in filtri
1. Gorivni filter mora biti vgrajen med izhodom gorivne posode in vhodom v uplinjač ali motorsko gnane gorivne črpalke.
2. Sita in filtri morajo biti enostavno dostopni za dreniranje in za čiščenje.
CS-UML 993 Gorivne napeljave in armature
1. Napeljava mora biti vgrajena in pritrjena, da je onemogočeno prekomerno nihanje in prenese tlačne obremenitve goriva in pospeške med letenjem
2. Napeljava pritrjena na medsebojno gibljive dele mora vsebovati elemente, ki omogočajo prožnost, oziroma prilagodljivost.
3. Gibke cevi morajo biti za uporabo odobrene, oziroma je potrebno ustreznost za predvideno uporabo utemeljiti.
4. Pri puščanju goriva iz napeljave ali veznih elementov, gorivo ne sme priti v stik z vročimi površinami in povzročiti požara. Prav tako gorivo ne sme priti v stik s posadko letala.
CS-UML 995 Ventili in regulatorji za gorivo
1. V letalu mora biti naprava, ki pilotu omogoča hitro prekinitev dovoda goriva motorju.
2. Dolžina napeljave med ventilom za prekinitev dovoda goriva in uplinjačem mora biti čim manjša.
3. Ventili za prekinitev napajanja goriva morajo imeti razločno izveden preklop med položajem „odprto“ in „zaprto“ z omejitvami ali zaskočkami.
1. Če je motor opremljen sistemom mazanja, mora biti zmožen dovajanja zadostne količine maziva s temperaturo, ki ni višja od najvišje dovoljene temperature za varno trajno delovanje.
2. Sistem mazanja mora imeti zadostno koristno prostornino za najdaljši predviden čas leta.
CS-UML 1013 Posoda za mazivo
1. Posode za mazivo morajo biti vgrajene tako, da:
a. izpolnjujejo zahteve iz CS-UML 967, točke 1., 2. in 4,
b. zdržijo vse vibracije in obremenitve zaradi vztrajnosti tekočine, ki se pojavijo med obratovanjem.
2. Preverjane nivoja maziva mora biti izvedeno tako, da ni potrebno odstranjevati delov okrova in uporabljati orodja. Izjemoma je dovoljen pokrov na ročno odpiranje za preverjanje dobave oziroma stanja maziva.
3. Če je posoda za mazivo vgrajena v prostoru motorja mora biti posoda iz ognjevarnega materiala.
CS-UML 1015 Tlačni preskus posode za mazivo
Posode za mazivo morajo biti preizkušene skladno s CS-UML 965, le da so preizkusi s tlakom izvedeni pri tlaku 5 psi (0.25 bar).
CS-UML 1017 Napeljava in armature
1. Napeljava za mazivo mora biti skladna z zahtevami iz CS-UML 993. Napeljava in armature morajo biti narejene iz ognjeodpornega materiala.
2. Napeljava za odzračenje mora biti speljana tako, da:
a. se na nobenem mestu ne moreta nabirati kondenz ali mazivo in bi z nalaganjem ali zamrzovanjem zamašila napeljavo,
b. izhod napeljave za odzračenje zaradi izločanja spenjenega ali tekočega maziva ne sme povzročati nevarnosti požara, ali umazati vetrobrana,
c. napeljava za odzračenje ne sme izločati v uvodnik zraka za motor.
Hladilni sistem motorja mora vzdrževati temperaturo vseh komponent motorja in motorskih tekočin znotraj temperaturnih omejitev, določenih s strani proizvajalca motorja, pod vsemi verjetnimi obratovalnimi pogoji ali ki jih je kot potrebne določil proizvajalec letala za te obratovalne pogoje.
CS-UML 1091 Sistem dovoda zraka
Sistem dovoda zraka mora zadostiti potrebam motorja po zahtevanih količinah zraka, pod vsemi možnimi obratovalnimi pogoji. Vnos tujkov je potrebno učinkovito preprečiti s filtriranjem.
1. Izpušni sistem mora zagotoviti varno odvajanje izpušnih plinov brez nevarnosti za nastanek požara ali onesnaženja kabine posadke z ogljikovim monoksidom.
2. Vsi deli izpušnega sistema z dovolj vročimi površinami, da pri stiku z vnetljivimi tekočinami ali hlapi lahko zanetijo požar, morajo biti nameščeni ali obloženi tako, da uhajanje ali kapljanje vnetljivih snovi iz ostalih sistemov na izpušni sistem ali obloge, ne povzroči požara.
3. Vsi deli izpušnega sistema, morajo biti dovolj oddaljeni od vnetljivih delov letala, ali ločeni z ognjevarnimi oblogami.
4. Izpušni plini ne smejo izstopati v nevarni bližini gorivne ali oljne drenaže.
5. Vsi deli izpušnega sistema morajo biti ustrezno zračeni, da ne prihaja do mest s pregrevanjem.
CS-UML 1125 Izpušna napeljava
1. Izpušna napeljava mora biti grajena iz ognjevarne snovi, odporne na korozijo in temperaturne raztezke.
2. Izpušna napeljava mora biti odporna na vibracije in vztrajnostne obremenitve, ki delujejo nanj pri običajnem obratovanju.
3. Deli izpušne napeljave, ki so pritrjeni na medsebojno gibljive dele morajo vsebovati elemente, ki omogočajo prilagodljivost.
Krmilje in pomožne naprave pogona
Podsklopi krmilja pogona, ki so nameščeni v motorskem prostoru in morajo delovati tudi v primeru požara, morajo biti vsaj iz ognjeodporne snovi.
CS-UML 1145 Stikala za vžig
1. Vsak tokokrog za vžig mora imeti lastno stikalo in ne sme vsebovati dodatnih operacij, potrebnih za delovanje.
2. Stikala za vžig morajo biti razporejena ali oblikovana tako, da ne pride do nenamerne uporabe.
3. Stikalo za vžig se ne sme uporabljati kot glavno stikalo za ostale tokokroge.
CS-UML 1149 Krmilje obratov propelerja
Obrati in kot koraka propelerja morata biti omejena na vrednosti, ki pod normalnimi pogoji zagotavljajo varno delovanje.
1. Med vzletom in vzpenjanjem pri hitrosti največjega vzpenjanja, mora propeler pri polnem odklonu ročice za krmiljenje moči motorja (polnem plinu) omejevati obrate motorja na vrednost, ki ni večja od največjih dovoljenih obratov pri polnem odklonu ročice za krmiljenje moči motorja.
2. Med letenjem s hitrostjo VNE ali pri največji hitrosti letenja z ročico za krmiljenje moči motorja v začetnem položaju (v prostem teku) ali z ugasnjenim motorjem, propeler ne sme povzročiti višjih obratov motorja kot 110 % najvišjih dovoljenih obratov motorja ali obratov propelerja, pri čemer se upošteva manjša vrednost izmed obeh.
CS-UML 1191 Požarna stena
(a) Razen če ni z drugimi sredstvi dosežena enaka raven varnosti, mora biti motor ločen od drugih delov ultralahkega letala s požarnimi stenami, ohišji ali drugimi enakovrednimi napravami.
(b) Požarne stene in ohišja morajo biti projektirana na način, da iz motorskega prostora v kabino ne morejo priti nevarne količine tekočin, plinov ali plamenov.
(c) Požarne stene in ohišja morajo biti ognjevarna in zaščitena proti koroziji.
CS-UML 1193 Pokrov motorja in motorska gondola
1. Pokrovi morajo biti grajeni in pritrjeni tako, da so odporni na vibracije, vztrajnost in aerodinamične sile, ki se lahko pojavijo pri obratovanju.
2. Zagotovljeni morajo biti načini za hitro in popolno drenažo vseh delov pokrova, če je letalo v vodoravnem položaju na tleh ali v zraku. Odvod drenaže ne sme biti na mestih, ki so nevarni za nastanek požara.
3. Vsak del pokrova, ki je zaradi bližine posameznih delov izpušnega sistema ali izpušnih plinov izpostavljen visokim temperaturam mora biti ognjevaren.
F. Oprema
CS-UML 1301 Delovanje in vgradnja
1. Vsa obvezna oprema mora:
a. po vrsti in izvedbi ustrezati namenu uporabe,
b. biti vgrajena skladno z navodili za to opremo,
c. vgrajena delovati brezhibno.
– Vremenski dejavniki kot so zmrzal, močno deževje in visoka vlažnost ne smejo vplivati na brezhibnost.
– Prepričati se je potrebno, da vgrajeno opremo za nadzor v zračnem prostoru ne moti ostala oprema, ki je vgrajena v letalo.
2. Instrumenti in ostala oprema ne sme sama po sebi ali z vplivom na letalo ogrožati varnega obratovanja. Naprave in ostala oprema ne sme sama po sebi ali z učinkovanjem na letalo ogrožati varnega obratovanja.
CS-UML 1303 Pilotski in navigacijski merilniki
Vgrajeni morajo biti naslednji pilotski in navigacijski instrumenti:
1. merilnik hitrosti,
2. višinomer,
3. magnetni kompas.
CS-UML 1305 Merilniki pogonskega sistema
1. Vgrajeni morajo biti naslednji instrumenti pogonske skupine:
a. merilnik tlaka olja, temperature in obratov, ki jih zahteva proizvajalec motorja ali tisti, ki so potrebni za delovanje motorja v predpisanih mejah,
b. merilnik količine goriva za vsako gorivno posodo, viden pilotu, ko je na sedežu privezan,
c. merilnik količine olja, npr. palica za merjenje nivoja olja.
CS-UML 1307 Ostala oprema
Za vsakega potnika mora biti vgrajeno štiridelno pasovje, ki zadrži potnika v sedečem položaju pri zasilnem pristanku.
Priporočena vgradnja ramenskega pasovja je prikazana na sliki 3.
3. Priporočljiva je vgradnja pasovja z dodatnim mednožnim pasom. Pri negativnih pospeških ramenski pasovi dvigujejo spodnje pasove do višine trebuha, zaradi česar lahko oseba iz ustreznega položaja zdrsi pod pasovjem.
4. Če je med prijemališči ramenskih pasov in zgornjim robom naslonjala več kot 152 mm pasu, morajo biti vgrajena ustrezna vodila, ki preprečujejo gibanje vstran in odrgnine vratu.
5. Če je naslonjalo za hrbet dovolj trdno in visoko tako, da je potek pasovja glede na položaj ramen skladen s sliko 3 (višina 650 mm) se pasovje za ramena lahko pritrdi na naslonjalo sedeža ali preko ustreznih vodil na tla.
6. Če je naslonjalo za hrbet dovolj trdno se z ustrezno trdnimi vodili lahko omeji stransko gibanje pasovja pri pojemkih zasilnega pristanka iz CS-UML 561.
CS-UML 1321 Razporeditev in vidnost
Pilotski, navigacijski in motorski instrumenti morajo biti razporejeni nedvoumno in pilotu jasno vidni.
CS-UML 1323 Merilnik hitrosti
1. Merilna naprava za hitrost mora biti umerjena tako, da kaže dejansko hitrost (TAS) na gladini morja pri mednarodni standardi atmosferi z mejo pogreška, ki ni večja od ±6 km/h ali ±5, s tem da upoštevamo večjo vrednost, v naslednjem hitrostnem območju:
a. 1,2 VS1 do VNE z uvlečenimi zakrilci in
b. 1,2 VS1 do VFE z izvlečenimi zakrilci
2. Umerjanje mora biti izvedeno v letu.
3. Merilnik hitrosti mora ustrezati merjenju hitrosti od VS0 do najmanj 105 % VNE.
CS-UML 1325 Pitot-statični sistem
1. Merilniki, ki imajo priključke za odjem statičnega tlaka morajo biti priključeni tako, da hitrost letala, odpiranje ali zapiranje oken, vlaga in tujki bistveno ne vplivajo točnost meritve.
2. Zasnova in namestitev sistema za odjem Pitot-ovega (totalnega) in statičnega tlaka mora zadoščati sledečim zahtevam:
a. zanesljivo odvajanje kondenza,
b. preprečevati drgnjenje cevi, prevelik upogib in zožitev na upogibih,
c. uporabljeni materiali imajo ustrezno trajnost, so primerni za uporabo in zaščiteni pred korozijo.
CS-UML 1337 Merilniki pogonskega sistema
1. Merilniki in njihova napeljava
a. Napeljava merilnikov pogonskega sistema v katerih je vnetljiva tekočina mora izpolnjevati zahteve CS-UML 993.
b. Napeljava, v katerih je vnetljiva tekočina pod tlakom, morajo imeti na tlačni strani omejitve ali druge varnostne naprave, ki preprečujejo razlivanje, ko se napeljava poškoduje.
2. Izpostavljen cevni kazalnik gladine, ki služi kot merilnik količine goriva mora biti zaščiten pred poškodbami.
Električni sistemi in oprema
CS-UML 1353 Zasnova in vgradnja akumulatorjev
1. Akumulatorji morajo biti zasnovani in vgrajeni skladno s to CS-UML.
2. Eksplozivni ali strupeni plini, ki iz akumulatorja uhajajo med normalnim obratovanjem ali pri morebitnih okvarah polnilca ali akumulatorja, se v letalu ne smejo kopičiti v nevarnih količinah.
3. Korozivne tekočine ali hlapi, ki bi lahko uhajale iz akumulatorja ne smejo poškodovati ogrodja ali ključne opreme, ki je nameščena v okolici.
CS-UML 1365 Električni vodniki in oprema
1. Električni vodniki morajo biti ustreznih debelin, pravilno speljani, pritrjeni in priključeni, da je možnost kratkega sika in požara čim manjša.
2. Zaščita pred preobremenitvijo mora biti izvedena za vsako napravo. Varovalka ne sme varovati več kot en tokokrog, ključnega pomena za varnost letenja.
CS-UML 1431 Radio in radio-navigacijska oprema
Radio in radio-navigacijska oprema mora zadoščati sledečim pogojem:
1. Oprema in pripadajoče antene z namestitvijo in načinom delovanja, ter s svojim vplivom na letalo in ostalo opremo, ne smejo predstavljati nevarnosti.
2. Oprema, nadzorne plošče in kazalniki morajo biti razporejeni tako, da je upravljanje z njimi enostavno. Vgradnja mora biti izvedena tako, da se z ustreznim prezračevanjem preprečuje pregrevanje.
G. Omejitve obratovanja in informacije
1. Opredeliti je potrebno vse omejitve, navedene od vključno CS-UML 1501 do vključno CS-UML 1529, ter vse ostale omejitve in informacije, ki imajo vpliv na varno obratovanje.
2. Omejitve obratovanja in ostale informacije, ki so pomembne za varnost, morajo biti pilotu na voljo in so opredeljeni od vključno CS-UML 1541 do vključno CS-UML 1585.
CS-UML 1505 Hitrosti letenja
1. Vse hitrosti letenja morajo biti določene in izražene v odčitanih hitrostih merilnika hitrosti (IAS).
Hitrosti EAS, določene pri posameznih obremenitvah ogrodja, je potrebno pretvoriti v hitrosti IAS.
2. Največja dovoljena hitrost VNE ne sme biti večja od 0,90-kratnika hitrosti strmega leta dosežene pri preskusnih poletih (VDF).
3. Hitrost strmega leta, dosežene pri preskusnih poletih VDF poletihne sme presegati največje načrtovane hitrosti strmega leta VD.
CS-UML 1507 Hitrost manevriranja
Hitrost manevriranja ne sme presegati načrtovane manevrske hitrosti VA iz CS-UML 335.
CS-UML 1511 Hitrost za izvlečenje zakrilc
Pri pozitivnem odklonu zakrilc največja hitrost z izvlečenimi zakrilci VFE ne sme preseči 0,9-kratne vrednosti načrtovane hitrosti z zakrilci VF iz CS-UML 335, za katero je bilo ogrodje načrtovano.
CS-UML 1515 Hitrost za izvlečenje podvozja
Največja hitrost za upravljanje podvozja VLO mora biti določena, če je manjša od največje hitrosti VNE.
CS-UML 1517 Hitrost v turbulentni atmosferi
Največja hitrost v turbolentni atmosferi VRA ne sme preseči načrtovane hitrosti pri največjem udarcu vetra iz, CS-UML 333, točka 3.
CS-UML 1519 Masa in lege masnega središča
1. V CS-UML 25 definirana največja masa mora biti določena kot omejitev obratovanja.
2. V CS-UML 23 definirane skrajne lege masnega središča morajo biti določene kot omejitve obratovanja.
3. Masa praznega letala in pripadajoče lege masnega središča morajo biti določene skladno s CS-UML 29.
CS-UML 1521 Omejitve pogonskega sistema
Omejitve pogonskega sistema morajo biti določene tako, da se skladajo z ustreznimi omejitvami, ki sta jih določila proizvajalca motorja in propelerja. Izjemne prekoračitve omejitev pogonskega sistema so dovoljene le, če je prosilec zadovoljivo dokazal varno uporabo pogonskega sistema skupaj z letalom.
CS-UML 1529 Priročnik za vzdrževanje
Priročnik za vzdrževanje letala mora vsebovati vse podatke za katere prosilec meni, da so ključnega pomena za pravilno vzdrževanje. Pri izdelavi priročnika je potrebno upoštevati sledečo vsebino informacij:
1. opis sistemov;
2. navodila o podmazovanju s časovno določenimi intervali, ter vrsto uporabljenih maziv in olj, ki se uporabljajo v posameznih sistemih;
3. plinski in tekočinski tlaki v različnih sistemih ter priključne moči električnih porabnikov v različnih sistemih;
4. tolerance in nastavitve, ki so potrebne za pravilno delovanje letala, vključno z odkloni krmil;
5. postopki za ravnanje, dviganje in vleko po tleh;
6. podatki o glavnem in pomožnem ogrodju letala;
7. pogostost in obseg rednih vzdrževalnih pregledov, potrebnih za pravilno vzdrževanje letala;
8. postopki izrednih – posebnih pregledov letala;
9. postopki posebnih popravil letala;
10. seznam specialnih orodij;
11. podatki za tehtanje in izračun lege masnega središča;
12. navedbe o življenjski dobi posameznega letalskega dela (zamenjava ali obnova), sestavnih sklopih in dodatkih, ki so podvrženi omejeni življenjski dobi;
13. materiali, ki so potrebni za majhna popravila;
14. priporočila za čiščenje in nego;
15. podatki za vgradnjo, vzdrževanje in ponovni pregled reševalne naprave;
16. podatki o podpornih mestih za transport po tleh;
17. seznam oznak in mest za namestitev.
H. Oznake in napisi
1. Letalo mora imeti:
a. oznake in napise, določene od vključno CS-UML 1545 do vključno CS-UML 1557 ter v Prilogi I, točka 3., alineja 6.,
b. vse dodatne informacije, oznake na kazalnikih in napise potrebne za varno uporabo neobičajnih izvedb ali načinov rokovanja,
c. ognjevarno registrsko tablico letala, ki vsebuje najmanj sledeče podatke: tip letala, serijsko številko, leto izdelave in registrsko številko.
2. Vse v odstavku 1. a. določene oznake in napisi:
a. morajo biti pritrjeni na opaznem mestu in
b. ne smejo se zlahka izbrisati, ponarediti ali zakriti.
3. Merske enote hitrosti na napisih morajo biti enake kot na kazalniku hitrosti.
CS-UML 1545 Oznake merilnika hitrosti
Vsak merilnik hitrosti mora imeti naslednje oznake:
Označevanje | Območje hitrosti | pomen |
zeleni lok | 1,1 VS1 do VRA | normalno območje upravljanja |
rumeni lok | od VRA do VNE | območje previdnosti, samo pri mirni atmosferi |
rdeča radialna črta | pri VNE | Največja dovoljena hitrost, ne sme biti prekoračena |
beli lok | od 1,1 VS0 do VFE | Območje hitrosti z izvlečenimi zakrilc |
rumena radialna črta | VA | Hitrost za manevriranje |
CS-UML 1547 Magnetni kompas
Če magnetni kompas nima manjše deviacije od 5° v vseh smereh, mora imeti, za vse odčitke magnetnih smeri s korakom 30° ali manj, ob kazalniku priloženo korekcijsko tabelo.
CS-UML 1549 Merilniki pogonskega sistema
Merilnik vsakega agregata pogonske skupine mora biti primerno tipu merilnika opremljen z:
– vse največje dopustne in – če je smiselno – najmanjše dopustne vrednosti varnega obratovanja označene z rdečo radialno črto.
CS-UML 1553 Merilnik količine goriva
1. Merilnik količine goriva mora biti umerjen tako, da v vodoravnem letu kaže „nič“, ko je v posodi za gorivo ostalo neuporabno gorivo opisano v CS-UML 959.
CS-UML 1555 Označevanje krmilja
1. Ročice krmilja v pilotski kabini, razen glavnega krmilja za krmarjenje letala, morajo biti jasno označene glede na njihovo vlogo in način uporabe.
2. Barvno označevanje krmilja reševalnih naprav mora biti skladno s CS-UML 780.
3. Krmilje za upravljanje z gorivnim sistemom:
a. Preklopnik napajanja goriva mora biti označen tako, da je iz njegovega položaja razvidno iz katere posode se dovaja gorivo.
b. Če je iz varnostnih razlogov predpisano zaporedje uporabe posod za gorivo, mora biti to označeno na preklopniku ali poleg njega.
CS-UML 1557 Ostale oznake in napisi
1. Prostor za prtljago: Vsak prostor za prtljago mora biti opremljen z oznako največjega dopustnega bremena v kg.
2. Odprtine za dotok goriva in olja: Poleg ali v bližini odprtine za gorivo ali olje mora biti oznaka za vrsto goriva ali olja.
3. Akrobatsko letenje: Na pilotu vidnem mestu mora biti jasno označeno, da sta akrobatsko letenje in namerni zvrt prepovedana.
4. Teža in otovoritev pilotske kabine: V ultralahkem letalu mora biti na vidnem mestu oznaka z naslednjimi podatki:
– registrska oznaka
– največja masa,
– najmanjša masa pilota,
– največja skupna masa posadke in goriva
– datum poročila o merjenju mase in določitvi pozicije masnega središča.
Vsakemu letalu mora biti priložen letalni priročnik, ki mora vsebovati:
1. vsebino CS-UML 1583 in CS-UML 1585,
2. ostale podatke, ki so potrebni za varno obratovanje zaradi zasnove, operativnih ali uporabniških lastnosti,
3. enako vsebino in merske enote, kot so uporabljene pri kazalnikih.
CS-UML 1583 Omejitve obratovanja
1. Hitrosti: vpisane morajo biti sledeče vrednosti:
a. omejitve hitrosti VNE, VRA, VA, če je smiselno tudi VFE in VLO in pomen teh omejitev,
b. omejitve za dovoljene vetrovne razmere,
c. omejitve pogonske skupine.
2. Mase: vpisane morajo biti sledeče vrednosti:
b. masa praznega letala in lega masnega središča praznega letala;
3. Lege masnega središča: Vpisane morajo biti sledeče vrednosti:
a. omejitev mase in lege masnega središča iz CS-UML 25 skupaj z deli, ki jih vsebuje prazno letalo (CS-UML 29),
b. podatki, ki pilotu pomagajo pri ugotavljanju lege masnega središča in pravilnosti razporeda tovora in potnikov,
c. podatki za pravilno namestitev uteži za vsako možen razpored, kjer je to potrebno.
4. Manever: Navedeni morajo biti dokazano dovoljeni manevri, če je smiselno tudi položaji zakrilc za vsak manever.
5. Faktorji preobremenitve: Vpisani morajo biti sledeči faktorji preobremenitve obremenitvene ovojnice:
a. za VA, faktor preobremenitve v točki A na sliki 1,
b. za VNE, faktor preobremenitve v točki D na sliki 1.
CS-UML 1585 Obratovalni podatki in postopki
1. Priročnik mora poleg določb te CS-UML vsebovati vse postopke v sili in ostale informacije, ki so potrebne za varno delovanje.
2. Priročnik mora vsebovati:
– napotke za varno vzletanje in pristajanje, ter varno vzletno in pristajalno razdaljo skladno s CS-UML 51,
– največjo dovoljeno bočno komponento vetra in vse ostale informacije v zvezi z uporabo letala pri bočnem vetru,
– postopek varnega pristanka brez moči motorja.
3. Navedene morajo biti sledeče vrednosti:
a. hitrost največjega vzpenjanja, skladno s CS-UML 65,
b. hitrost prevlečenega leta v različnih oblikah za letenje,
c. izguba višine od začetka prevlečenega leta do ponovne vzpostavitve vodoravnega leta in največji kot vzdolžnega naklona po določbah CS-UML 201.
4. Če je za zaganjanje motorja med letom predviden poseben postopek mora biti opisan.
5. Navedeni morajo biti postopki za sestavljanje letala, postopki priprave letala za letenje, postopki pred poletom in po pristanku, ter postopek za razstavljanje letala.
6. Opisan mora biti način delovanja in rokovanje z reševalnim sistemom.
I. Propeler
Primernost in trajnost uporabljenih materialov za propeler mora:
1. biti dokazljiva z izkušnjami in s preskusi,
2. ustrezati izbranim specifikacijam, pri čemer je potrebno zadosti zahtevani trdnosti in ostalim gradbenim zahtevam.
Z ustrezno zasnovo in gradnjo propelerja je potrebno čim bolj minimalizirati verjetnost nastanka nevarnih poškodb, ki nastanejo v času njegove življenjske dobe (čas med dvema obnovama propelerja).
CS-UML 1923 Krmiljenje kota koraka
Za vgradnjo propelerja z na tleh nastavljivim kotom koraka ali propelerja z nastavljivim kotom koraka med letenjem se je potrebno posvetovati s pristojnim letalskim organom za ugotavljanje skladnosti.