Uradni list

Številka 112
Uradni list RS, št. 112/2005 z dne 15. 12. 2005

Prikazana vsebina je v skladu s 33. členom ZoUL arhivska. Izdaje uradnega lista, izdane po 28.2.2026, so dostopne na PISRS.

Uradni list

Uradni list RS, št. 112/2005 z dne 15. 12. 2005

Kazalo

4927. Uredba o mejnih vrednostih emisije hlapnih organskih spojin v zrak iz naprav, v katerih se uporabljajo organska topila, stran 12051.

Na podlagi tretjega in četrtega odstavka 17. člena in sedmega odstavka 74. člena ter za izvajanje drugega odstavka 104. člena Zakona o varstvu okolja (Uradni list RS, št. 41/04) izdaja Vlada Republike Slovenije
U R E D B O
o mejnih vrednostih emisije hlapnih organskih spojin v zrak iz naprav, v katerih se uporabljajo organska topila
I. SPLOŠNE DOLOČBE
1. člen
(vsebina)
(1) Ta uredba v skladu z Direktivo Sveta 1999/13/ES z dne 11. marca 1999 o omejevanju emisij hlapnih organskih spojin zaradi uporabe organskih topil v nekaterih dejavnostih in obratih (UL L št. 85 z dne 29. 3. 1999, str. 1, z vsemi spremembami; v nadaljnjem besedilu: Direktiva 1999/13/ES) določa posebne zahteve, povezane s preprečevanjem in zmanjševanjem emisije hlapnih organskih spojin v okolje, predvsem v zrak, in sicer:
– vrste dejavnosti in z njimi povezane naprave, ki uporabljajo organska topila in za katere se uporabljajo določbe te uredbe,
– mejne vrednosti koncentracij hlapnih organskih spojin v odpadnih plinih,
– mejne količine nezajetih in celotnih emisij hlapnih organskih spojin,
– mejne vrednosti koncentracij rakotvornih, mutagenih in za reprodukcijo strupenih hlapnih organskih spojin,
– merila za odobritev načrta zmanjševanja emisij hlapnih organskih spojin,
– vrednotenje emisije hlapnih organskih snovi in ugotavljanje čezmerne obremenitve,
– obseg obratovalnega monitoringa in
– posebne ukrepe v zvezi z zmanjšanjem tveganja za zdravje ljudi, ki ga povzročajo emisije hlapnih organskih spojin v okolje.
(2) Za vprašanja o emisiji hlapnih organskih spojin v zrak, ki niso posebej urejena s to uredbo, in vprašanja o emisiji drugih snovi v zrak iz naprav, za katere se uporabljajo določbe te uredbe, se uporabljajo predpis, ki ureja emisije snovi v zrak iz nepremičnih virov onesnaževanja, in predpis, ki ureja emisije snovi v zrak iz lakirnic, za vprašanja obratovalnega monitoringa emisije snovi v zrak pa predpis, ki ureja prve meritve in obratovalni monitoring emisije snovi v zrak iz nepremičnih virov onesnaževanja.
2. člen
(obseg uporabe)
(1) Določbe te uredbe se uporabljajo za obratovanje naprav, pri katerih je zaradi izvajanja posamezne dejavnosti iz priloge 1, ki je sestavni del te uredbe, uporaba hlapnih organskih spojin večja od najmanjše letne porabe organskih topil, določene v I. delu priloge 2a, ki je sestavni del te uredbe.
(2) Če se na funkcionalno zaokroženem območju, ki ga ima v posesti isti upravljavec, uporabljajo organska topila v napravi, ki jo sestavlja več istovrstnih naprav, ali se posamezne faze dejavnosti iz priloge 1 te uredbe izvajajo tudi z opremo, ki se uporablja samo delno za izvajanje dejavnosti iz priloge 1 te uredbe ali kot dodatna oprema k napravi, se za porabo organskih topil šteje celotna poraba organskih topil na tem območju.
(3) Ne glede na določbo prvega odstavka tega člena se določbe v zvezi s prijavo obratovanja iz 26., 27., 32. in 33. člena te uredbe uporabljajo za vse naprave, s katerimi se izvajajo dejavnosti iz priloge 1 te uredbe.
(4) Določbe te uredbe se ne uporabljajo za naprave iz točk 2.1, 3.1 in 18.1 iz I. dela priloge 2a te uredbe, če se v njih uporabljajo organska topila z vsebnostjo halogeniranih organskih spojin, ki je enaka ali večja od 1% celotne mase organskega topila.
3. člen
(izrazi)
Izrazi, uporabljeni v tej uredbi, imajo naslednji pomen:
1. naprava so napeljave in oprema, ki so nepremična tehnična celota, v kateri se izvaja ena ali več dejavnosti iz priloge 1 te uredbe ali katera koli druga dejavnost, ki je z njimi tehnično povezana in lahko vpliva na emisije hlapnih organskih spojin. Za eno napravo se šteje tudi več istovrstnih naprav iz I. dela priloge 2a te uredbe na posameznem funkcionalno zaokroženem območju v posesti istega upravljavca, vključno s pripadajočo ali z njimi povezano infrastrukturo in tehnološkimi postopki, v katerih se uporabljajo organska topila;
2. obstoječa naprava je naprava, ki je obratovala 24. maja 2002 ali je bila tedaj v gradnji in je bilo zanjo pridobljeno enotno dovoljenje za poseg v prostor ali gradbeno dovoljenje skladno s predpisi pred 24. majem 2002 ter je začela poskusno obratovati najpozneje 30. aprila 2002;
3. majhna naprava je naprava:
– iz točk 1.1, 1.3, 2.1, 2.2, 4.1, 4.5, 8.1, 9.1, 10.1, 11.1, 14.1 in 16.1 iz I. dela priloge 2a te uredbe, ki obratuje v spodnjem območju najmanjše letne porabe organskih topil iz II. dela priloge 2a te uredbe, in
– iz vseh preostalih točk iz I. dela priloge 2a te uredbe, ki niso navedene v prejšnji alinei, z letno porabo organskih topil, ki je manjša od 10 t;
4. večja sprememba uporabe organskih topil je:
– vsaka gradnja ali rekonstrukcija naprave, za katero je predpisana presoja vplivov na okolje,
– sprememba nazivne zmogljivosti pri majhni napravi, ki povzroči več kot 25-odstotno povečanje emisij hlapnih organskih spojin, ali kakršna koli sprememba, ki povzroči čezmerno obremenjenost zunanjega zraka ali drugače škodljivo vpliva na zdravje ljudi ali okolje,
– sprememba nazivne zmogljivosti vseh drugih naprav, ki pomeni več kot 10-odstotno povečanje emisij hlapnih organskih spojin, ali kakršna koli sprememba, ki povzroči čezmerno obremenjenost zunanjega zraka ali drugače škodljivo vpliva na zdravje ljudi ali okolje;
5. upravljavec naprave (v nadaljnjem besedilu: upravljavec) je pravna ali fizična oseba, ki ima napravo v posesti. Upravljavec je tudi vlagatelj, ki namerava graditi ali gradi napravo;
6. okoljevarstveno dovoljenje je dovoljenje za obratovanje naprave, izdano v skladu z zakonom, ki ureja varstvo okolja;
7. prijava naprave je postopek, na podlagi katerega mora upravljavec prijaviti uporabo organskih topil ministrstvu, pristojnemu za varstvo okolja (v nadaljnjem besedilu: ministrstvo);
8. emisija je kakršenkoli izpust hlapnih organskih spojin iz naprave v okolje;
9. nezajete emisije so emisije hlapnih organskih spojin v zrak, tla ali vodo, ki niso zajete v odpadnih plinih, in če ni drugače določeno s to uredbo, tudi topila v katerih koli izdelkih. Med nezajete emisije so vključene tudi difuzne emisije, ki se izpuščajo v okolje skozi okna, vrata, zračnike in podobne odprtine;
10. odpadni plini so s hlapnimi organskimi spojinami in drugimi snovmi onesnaženi plini, ki se izpuščajo v zrak iz:
a) odvodnikov naprav za čiščenje odpadnih plinov (zajeti očiščeni odpadni plini),
b) drugih odvodnikov odpadnih plinov brez predhodnega čiščenja (zajeti neočiščeni odpadni plini).
Prostorninski pretok odpadnih plinov se izraža v m3/h pri normnih pogojih;
11. celotne emisije so vsota nezajetih emisij in emisij v odpadnih plinih;
12. mejna vrednost emisij je masa hlapnih organskih spojin, izražena s posebnimi parametri (v nadaljnjem besedilu: parametri emisije), kot je koncentracija, odstotek vnosa topil ali emisijski faktor, izračunana pri normnih pogojih, ki v enem ali več časovnih obdobjih ne sme biti presežena;
13. snov je katerikoli kemijski element ali njegova spojina, ki je v naravi ali je industrijsko izdelana, v trdnem, tekočem ali plinastem stanju;
14. pripravek je zmes ali raztopina, sestavljena iz dveh ali več snovi;
15. organska spojina je vsaka spojina, ki vsebuje vsaj element ogljik in enega ali več naslednjih elementov: vodik, katerikoli halogen, kisik, žveplo, fosfor, silicij ali dušik, razen ogljikovih oksidov ter anorganskih karbonatov in bikarbonatov;
16. hlapna organska spojina je katerakoli organska spojina s parnim tlakom, večjim od 0,01 kPa pri 293,15 K, ali spojina z enako hlapnostjo pri določenih pogojih uporabe. Po tej uredbi se za hlapno organsko spojino šteje tudi frakcija kreozota, katere parni tlak pri 293,15 K presega vrednost 0,01 kPa;
17. organsko topilo je katerakoli hlapna organska spojina, ki se uporablja sama ali skupaj z drugimi snovmi, ne da bi se pri tem kemijsko spremenila, za raztapljanje surovin, izdelkov ali odpadnih snovi ali se uporablja kot čistilno sredstvo za raztapljanje nečistoč, kot sredstvo za raztapljanje, disperzni medij, sredstvo za uravnavanje viskoznosti ali površinske napetosti, plastifikator ali kot zaščitno sredstvo;
18. halogenirano organsko topilo je organsko topilo, ki vsebuje vsaj en atom broma, klora, fluora ali joda v molekuli;
19. premazno sredstvo je katerikoli pripravek skupaj z vsemi organskimi topili ali pripravki, ki vsebujejo organska topila zato, da se zagotovi njegova ustrezna uporaba in se uporablja zato, da se z njim doseže okrasen, zaščiten ali kakšen drug uporaben učinek na površini;
20. lepilo je katerikoli pripravek skupaj z vsemi organskimi topili ali pripravki, ki vsebujejo organska topila, potrebna za njegovo ustrezno uporabo, ki se uporablja za lepljenje posameznih delov izdelka;
21. tiskarska barva je pripravek skupaj z vsemi organskimi topili ali pripravki, ki vsebujejo organska topila, potrebna za njeno ustrezno uporabo, ki se uporablja v tiskarstvu za tiskanje besedila ali slik na površino;
22. lak je prozorno premazno sredstvo;
23. uporaba je celoten vnos organskih topil v napravo v koledarskem letu ali kateremkoli drugem 12-mesečnem obdobju brez upoštevanja vseh hlapnih organskih spojin, ki se regenerirajo za ponovno uporabo;
24. vnos je količina organskih topil vključno z organskimi topili v pripravkih, ki se uporabljajo pri izvajanju dejavnosti, in organskimi topili, ki se reciklirajo v napravi ali zunaj nje, in se upošteva vsakokrat, ko se organska topila uporabljajo v napravi;
25. ponovna uporaba organskih topil je uporaba organskih topil, regeneriranih iz naprav za kakršnekoli tehnične ali komercialne namene, skupaj z uporabo kot gorivo, vendar brez upoštevanja količine regeneriranega organskega topila, ki se odstrani kot odpadek;
26. masni pretok je količina izpuščenih hlapnih organskih spojin, izražena v masnih enotah na uro;
27. nazivna zmogljivost je največji masni vnos organskih topil v napravo, izražen kot dnevno povprečje, če naprava deluje ob normalnem obratovanju ob projektiranem obsegu proizvodnje;
28. normalno obratovanje je ves čas delovanja naprave ali izvajanja dejavnosti, razen zagona in ustavitve ter vzdrževanja opreme;
29. zaprti pogoji so pogoji, v katerih naprava deluje tako, da se hlapne organske spojine, ki se sproščajo pri izvajanju dejavnosti, zbirajo in odvajajo nadzorovano skozi odvodnik odpadnih plinov ali iz naprave za čiščenje odpadnih plinov in tako niso povsem nezajete;
30. normni pogoji so pogoji pri temperaturi 273,15 K in tlaku 101,3 kPa;
31. dnevna povprečna vrednost je aritmetična povprečna vrednost vseh veljavnih rezultatov meritev, izmerjenih v obdobju 24 ur in preračunanih na normne pogoje;
32. zagon in ustavitev sta postopka, s katerima se dejavnost, oprema ali rezervoar požene ali ustavi oziroma privede v prazni tek ali iz njega. Šteje se, da redna nihanja pri delovanju naprave niso zagoni in ustavitve;
33. R 40, R 45, R 46, R 49, R 60 in R 61 so oznake za zdravju škodljive, rakotvorne, mutagene in za reprodukcijo strupene hlapne organske spojine v skladu s predpisi o kemikalijah.
II. IZPOLNJEVANJE ZAHTEV GLEDE MEJNIH VREDNOSTI
4. člen
(zahteve glede mejnih vrednosti)
Pri načrtovanju, gradnji ali rekonstrukciji ter obratovanju naprav je treba zagotoviti, da so za posamezno napravo izpolnjene naslednje zahteve glede mejnih vrednosti emisij hlapnih organskih spojin:
1. koncentracija hlapnih organskih spojin v odpadnih plinih ne sme presegati mejnih vrednosti iz II. dela priloge 2a te uredbe,
2. količina celotnih emisij hlapnih organskih spojin, izražena v odstotkih vnosa organskih topil ali kot emisijski faktor, ne sme presegati mejnih vrednosti za celotne emisije, če so za posamezno vrsto naprav določene v II. delu priloge 2a te uredbe,
3. količina nezajetih emisij hlapnih organskih spojin, izražena v odstotkih vnosa organskih topil ali kot emisijski faktor, ne sme presegati mejnih vrednosti za nezajete emisije, če so za posamezno vrsto naprav določene v II. delu priloge 2a te uredbe,
4. koncentracije R 40, R 45, R 46, R 49, R 60 ali R 61 v odpadnih plinih ne smejo presegati mejnih vrednosti iz 6. in 7. člena te uredbe in
5. v zvezi z emisijami hlapnih organskih spojin morajo biti za posamezne naprave izpolnjene posebne zahteve iz II. dela priloge 2a te uredbe.
5. člen
(izjeme pri izpolnjevanju zahtev glede mejnih vrednosti)
(1) Ne glede na določbo prejšnjega člena je treba za obratovanje naprave, za katero je ministrstvo odobrilo načrt zmanjševanja emisij hlapnih organskih spojin iz 10. člena te uredbe, zagotoviti le izpolnjevanje zahtev iz 4. in 5. točke prejšnjega člena.
(2) Z načrtom zmanjševanja emisij hlapnih organskih spojin iz prejšnjega odstavka je treba zagotoviti, da bo letna emisija hlapnih organskih spojin v roku, ki je v 12. členu te uredbe določen za dokončno izvedbo ukrepov načrta zmanjševanja emisij, enaka ali manjša od letne emisije, ki bi jo povzročila naprava, če bi obratovala tako, da bi bile izpolnjene zahteve glede mejnih vrednosti iz 1., 2. in 3. točke prejšnjega člena (v nadaljnjem besedilu: ciljna emisija).
(3) Ciljna emisija se za nanašanje premaznih sredstev, lakov, lepil ali tiskarskih barv določi po postopku iz priloge 2b, ki je sestavni del te uredbe.
(4) Ne glede na določbo prejšnjega člena zahtev glede mejnih vrednosti emisij, ki veljajo za naprave za površinsko zaščito kovinskih ali plastičnih površin iz točke 8.1 v II. delu priloge 2a te uredbe, ni treba izpolnjevati pri premazovanju vozil, vodnih plovil ali drugih predmetov večjih dimenzij, če ni mogoče zagotavljati zaprtih pogojev pri uporabi organskih topil in če je ministrstvo odobrilo načrt zmanjševanja emisij hlapnih organskih spojin iz prvega odstavka tega člena.
(5) Če uporaba načrta zmanjševanja emisij hlapnih organskih spojin iz prejšnjega odstavka tehnično ni izvedljiva ali je ekonomsko neupravičena, lahko ministrstvo na podlagi vloge upravljavca v okoljevarstvenem dovoljenju za obratovanje naprave dovoli obratovanje naprave za površinsko zaščito kovinskih ali plastičnih površin, če so izpolnjene zahteve glede zmanjševanja emisij tako, da se uporabljajo najboljše razpoložljive tehnike premazovanja. Upravljavec mora preverjati skladnost z najboljšimi razpoložljivimi tehnikami premazovanja vsaka tri leta in jih po potrebi prilagoditi novemu stanju tehnike. Ugotovitve tega preverjanja je treba dokumentirati in dokumentacijo preverjanja shranjevati na kraju obratovanja do roka za naslednje preverjanje in jo na zahtevo predložiti ministrstvu v odobritev.
6. člen
(mejne vrednosti)
(1) Mejna koncentracija R 45, R 46, R 49, R 60 ali R 61 je pri emisiji hlapnih organskih spojin, ki je enaka ali večja od masnega pretoka 10 g/h, enaka 2 mg/Nm3.
(2) Če je v odpadnih plinih iz posamezne naprave več hlapnih organskih spojin iz prejšnjega odstavka, veljata masni pretok in mejna koncentracija za vsoto teh hlapnih organskih spojin.
7. člen
(mejne vrednosti halogeniranih organskih spojin)
(1) Mejna koncentracija halogeniranih hlapnih organskih spojin, ki imajo oznako R 40, je pri emisiji hlapnih organskih spojin, ki je enaka ali večja od masnega pretoka 100 g/h, enaka 20 mg/m3.
(2) Če je v odpadnih plinih iz posamezne naprave več hlapnih organskih spojin iz prejšnjega odstavka, veljata masni pretok in mejna koncentracija za vsoto teh hlapnih organskih spojin.
8. člen
(skupni odvodnik odpadnih plinov)
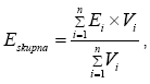
Če se izpuščajo odpadni plini iz več raznovrstnih naprav, za katere so v II. delu priloge 2a te uredbe določene mejne vrednosti emisij, skozi skupni odvodnik ali skozi odvodnik skupne naprave za čiščenje odpadnih plinov, za mejne vrednosti emisij teh odpadnih plinov velja naslednje:
1. mejna koncentracija hlapnih organskih spojin se določi na podlagi izračuna:
    pri čemer je:
    E(skupna)  mejna koncentracija hlapnih organskih spojin v odpadnih
plinih v skupnem odvodniku ali odvodniku skupne naprave za čiščenje odpadnih
plinov,
    E(i)       mejna koncentracija hlapnih organskih spojin v odpadnih
plinih posamezne naprave iz II. dela priloge 2a te uredbe, pri čemer se
upošteva, da je vrednost za E(i) enaka nič, če za posamezno vrsto naprav iz
II. dela priloge 2a te uredbe ne določa mejne vrednosti E(i), in
    V(i )      prostorninski pretok odpadnih plinov posamezne naprave;
    2. mejna vrednost količine nezajetih emisij in mejna vrednost količine
celotnih emisij hlapnih organskih spojin sta enaki vsoti mejnih vrednosti
količin za posamezne vrste naprav iz II. dela priloge 2a te uredbe, ki
obratujejo med ugotavljanjem skladnosti z zahtevami iz te uredbe;
    3. mejne koncentracije rakotvornih, mutagenih in strupenih za
reprodukcijo hlapnih organskih spojin z oznako R 45, R 46, R 49, R 60 ali R
61 so enake mejnim vrednostim iz 6. člena te uredbe;
    4. mejna koncentracija halogeniranih hlapnih organskih spojin, ki imajo
oznako R 40, je enaka mejni vrednosti iz 7. člena te uredbe.
9. člen
(drugi ukrepi v zvezi z mejnimi vrednostmi)
(1) Če je na funkcionalno zaokroženem območju, ki ga ima v posesti isti upravljavec, več vrst naprav iz I. dela priloge 2a te uredbe, se ugotavlja izpolnjevanje zahtev iz 4. do 8. člena te uredbe za vsako vrsto naprav posebej.
(2) Upravljavec mora snovi iz 6. člena te uredbe v roku, določenem v okoljevarstvenem dovoljenju za obratovanje naprave, nadomestiti z manj škodljivimi snovmi. Ministrstvo pri določanju roka nadomestitve upošteva tehnične možnosti ter razmerja med stroški nadomestitve in koristmi za varstvo okolja ter zmanjšanjem tveganja za zdravje ljudi.
(3) Upravljavec mora poskrbeti za varnostne ukrepe, ki zagotavljajo čim nižje emisije hlapnih organskih spojin med zagonom in ustavitvijo naprave.
(4) Če upravljavec sam ugotovi ali mu izvajalec občasnih ali trajnih meritev emisij hlapnih organskih spojin iz 19. člena te uredbe sporoči, da naprava ne izpolnjuje zahtev glede emisij iz 4. do 8. člena te uredbe, mora o tem nemudoma obvestiti inšpektorja, pristojnega za okolje.
(5) Inšpektor, pristojen za okolje, mora prepovedati obratovanje naprave, če oceni, da lahko zaradi neizpolnjevanja zahtev glede emisij iz 4. do 8. člena te uredbe v zunanjem zraku v okolici naprave na območju, ki ga ima v posesti upravljavec, ali zunaj njega koncentracija onesnaževal v zunanjem zraku preseže predpisane ciljne vrednosti, v skladu s predpisi, ki urejajo koncentracijo onesnaževal v zunanjem zraku.
III. NAČRT ZMANJŠEVANJA EMISIJ HLAPNIH ORGANSKIH SPOJIN
10. člen
(namen načrta zmanjševanja emisij)
Z načrtom zmanjševanja emisij hlapnih organskih spojin mora upravljavec:
– prikazati, da so predvideni ukrepi zmanjševanja uporabe hlapnih organskih spojin taki, da je po njihovi izvedbi letna emisija manjša ali enaka emisiji naprave, ki izpolnjuje vse s to uredbo določene zahteve glede mejnih vrednosti,
– izračunati in razložiti vrednost emisije, za katero zagotavlja, da jo bo povzročala naprava po izvedenih ukrepih zmanjševanja emisij,
– izračunati in razložiti vrednost letne emisije, ki jo povzroča naprava na začetku izvajanja ukrepov zmanjševanja emisij, v obliki bilance uporabljenih organskih topil na začetku izvajanja načrta zmanjševanja emisij hlapnih organskih spojin in
– prikazati časovni potek zmanjševanja uporabe hlapnih organskih spojin za vsako leto posebej za vse obdobje trajanja izvajanja ukrepov zmanjševanja emisij hlapnih organskih spojin.
11. člen
(odobritev načrta zmanjševanja emisij)
(1) Ministrstvo odobri načrt zmanjševanja emisij hlapnih organskih spojin v okoljevarstvenem dovoljenju za obratovanje naprave.
(2) Če gre za pridobitev okoljevarstvenega dovoljenja za obratovanja naprave zaradi spremembe obratovanja ali obnove naprave, je treba k vlogi za pridobitev okoljevarstvenega dovoljenja za obratovanje naprave poleg načrta zmanjševanja emisij hlapnih organskih spojin priložiti tudi poročilo o obratovalnem monitoringu za preteklo leto in bilanco uporabljenih organskih topil.
12. člen
(pogoji za odobritev načrta zmanjševanja emisij)
Ministrstvo odobri načrt za zmanjševanje emisij hlapnih organskih spojin, če iz izračunov in podatkov v njem ter iz ugotovitev poročila o prvih meritvah oziroma obratovalnega monitoringa izhaja, da:
– so predvideni ukrepi, ki zmanjšujejo vsebnost hlapnih organskih spojin ali povečujejo uporabo snovi v premaznih sredstvih, lepilih ali tiskarskih barvah, ki ostanejo trdne, potem ko voda ali hlapne organske spojine izparijo, vendar to niso ukrepi čiščenja hlapnih organskih spojin v odpadnih plinih ali zajemanja nezajetih emisij hlapnih organskih spojin;
– načrt za zmanjševanje emisij hlapnih organskih spojin vsebuje po postopku iz priloge 2b te uredbe izračunano letno referenčno emisijo, ki jo povzroča naprava na začetku izvajanja ukrepov, in da so predložena dokazila, s katerimi je mogoče preveriti letno količino trdnih snovi v premaznih sredstvih, lepilih ali tiskarskih barvah;
– načrt za zmanjševanje emisij hlapnih organskih spojin vsebuje izračun in obrazložitev največje vrednosti letne emisije hlapnih organskih spojin, ki jo bo povzročala naprava po izvedenih ukrepih zmanjševanja emisij in katere vrednost je manjša od ciljne emisije;
– je v načrtu za zmanjševanje emisij hlapnih organskih spojin predvideno zmanjšanje letne emisije hlapnih organskih spojin v skladu z naslednjimi zahtevami:
– za nove ali rekonstruirane naprave največja vrednost letne emisije hlapnih organskih spojin ne sme presegati ciljne emisije,
– za obstoječe naprave največja vrednost letne emisije hlapnih organskih spojin do 1. novembra 2007 ne sme presegati ciljne vrednosti za več kot 50% ciljne vrednosti,
– za obstoječe naprave največja vrednost letne emisije hlapnih organskih spojin od 1. novembra 2007 dalje ne sme presegati ciljne vrednosti.
13. člen
(poenostavljen način dokazovanja zmanjševanja
emisij)
Izpolnjevanje zahtev glede doseganja največjih vrednosti letnih emisij hlapnih organskih spojin iz prejšnjega člena se lahko dokazuje poenostavljeno, če gre za naprave in izpolnjevanje pogojev iz 3. točke priloge 2b te uredbe.
14. člen
(zavrnitev načrta zmanjševanja emisij)
(1) Ministrstvo zavrne izdajo okoljevarstvenega dovoljenja za obratovanje naprave, če ugotovi, da načrt zmanjševanja emisij hlapnih organskih spojin ne vsebuje sprejemljivih ukrepov zmanjševanja emisij organskih hlapnih spojin oziroma so ti ukrepi nezadostni za doseganje ciljne emisije, pri čemer mora ministrstvo takšno odločitev utemeljiti.
(2) Ministrstvo lahko od upravljavca zahteva dopolnitev vloge za pridobitev okoljevarstvenega dovoljenja z novim ali spremenjenim načrtom zmanjševanja emisij hlapnih organskih spojin, z novimi podatki ali dopolnitvami ukrepov zmanjševanja emisij ali s spremembami projekta za gradnjo ali rekonstrukcijo naprave.
IV. VREDNOTENJE PARAMETROV EMISIJE
15. člen
(koncentracija hlapnih organskih spojin)
(1) Koncentracija hlapnih organskih spojin se določa v masnih enotah, izraženih v g ali mg na enoto prostornine suhega odpadnega plina, izražene v m3 pri normnih pogojih.
(2) Koncentracija hlapnih organskih spojin se ugotavlja pri izpustu odpadnih plinov iz naprav v zajetih odpadnih plinih, ki so razredčeni toliko, kot je to tehnično in obratovalno nujno.
(3) Količine zraka, ki se dovajajo v napravo zaradi redčenja ali hlajenja zajetih odpadnih plinov, se ne upoštevajo pri določanju koncentracije hlapnih organskih spojin v zajetem odpadnem plinu.
16. člen
(določanje koncentracij in količin hlapnih organskih
spojin)
(1) Koncentracija in količina hlapnih organskih spojin se določata posebej kot vsota vseh spojin, ki imajo oznake iz 4. člena te uredbe, in posebej za preostale hlapne organske spojine. Koncentracija in količina se določata pri polni obremenitvi naprav in na vseh izpustih odpadnih plinov posamezne naprave na podlagi izmerjenih vrednosti.
(2) Iz izmerjenih vrednosti koncentracij hlapnih organskih spojin in pretoka odpadnih plinov se izračunajo urne in dnevne povprečne vrednosti meritev koncentracije in urne povprečne vrednosti masnih pretokov hlapnih organskih spojin.
17. člen
(površinska zaščita)
(1) Pri površinski zaščiti vozil in njihovih sestavnih delov v napravah iz točke 4.1 do 4.5 iz II. dela priloge 2a te uredbe je mejna količina celotnih emisij hlapnih organskih spojin izražena v gramih izpuščenega topila glede na površino školjke avtomobila ali drugega sestavnega dela avtomobila, izraženo v m3. Količina celotne emisije hlapnih organskih spojin je vsota količin vseh hlapnih organskih spojin, izpuščenih pri vseh stopnjah postopka, izvedenih v istem industrijskem obratu, in vključuje elektroforezni nanos ali kakršen koli drug nanos, vosek in polirno sredstvo ter topilo, uporabljeno pri čiščenju opreme, skupaj z lakirnimi kabinami in drugo pritrjeno opremo med obratovalnim časom in zunaj njega.
(2) Površina vozila ali njegovega dela se izračuna kot vsota površine elektroforeznega nanosa in površine vseh delov, ki se lahko dodajo v nadaljnjih fazah površinske zaščite in se prekrijejo z istimi premaznimi sredstvi.
(3) Površina elektroforeznega nanosa se izračuna po naslednji enačbi:
2 x skupna teža školjke vozila
------------------------------------------------
Povprečna debelina pločevine x gostota pločevine
(4) Izračun iz prejšnjega odstavka se uporablja tudi za druge dele vozila iz pločevine. Za izračun površine pločevine se lahko uporabi tudi računalniško podprt izračun ali katera druga enakovredna metoda.
18. člen
(izračun vsebnosti hlapnih organskih spojin)
(1) Vsebnost hlapnih organskih spojin v premaznem sredstvu (v nadaljnjem besedilu: vrednost VOC), izražena v g/l, se izračuna po naslednji enačbi:
                   masa hlapnih sestavin – masa vode
VOC vrednost = ------------------------------------------
               volumen premaznega sredstva – volumen vode
(2) Vrednost VOC se določa za premazno sredstvo, ki je pripravljeno za uporabo, vključno z razredčenji, ki jih določa ali priporoča proizvajalec.
(3) Ne glede na določbe prejšnjega odstavka se vrednost VOC pri premaznih sredstvih za les, izražena v g/l, izračuna po naslednji enačbi:
                   (100-nfa-m(w) )
    VOC vrednost = --------------- x ρ(s)
                        100
 
    pri čemer je:
    ρ(s):  gostota premaznega sredstva v g/l,
    nfa:   delež nehlapnih snovi, izražen v odstotkih mase premaznega
sredstva,
    m(w):  delež vode, izražen v odstotkih mase premaznega sredstva.
V. MERITVE EMISIJE HLAPNIH ORGANSKIH
SPOJIN
19. člen
(obratovalni monitoring)
(1) Upravljavec mora skladno s predpisom, ki ureja prve meritve in obratovalni monitoring emisije snovi v zrak iz nepremičnih virov onesnaževanja, zagotavljati prve in občasne ali trajne meritve emisij hlapnih organskih spojin.
(2) Trajne meritve so obvezne za odpadne pline iz naprave, opremljene z napravo za čiščenje dimnih plinov, če na njenem izpustu povprečna vrednost masnega pretoka emisije hlapnih organskih spojin presega mejno vrednost masnega pretoka 10 kg/h, izraženo v kg celotnega organskega ogljika.
(3) Za naprave, opremljene z napravo za čiščenje dimnih plinov, katerih emisije hlapnih organskih spojin ne presegajo mejne vrednosti masnega pretoka iz prejšnjega odstavka, in za naprave, ki niso opremljene z napravo za čiščenje dimnih plinov, so obvezne občasne meritve enkrat v koledarskem letu. Pri posamezni občasni meritvi je treba izvesti najmanj tri enourna merjenja.
20. člen
(izjeme pri opravljanju meritev)
(1) Ministrstvo lahko v okoljevarstvenem dovoljenju za obratovanje naprave dovoli opustitev občasnih meritev, če so za uporabo organskih topil v posamezni napravi uporabljene tehnologije, ki omogočajo doseganje za to napravo določenih mejnih vrednosti brez uporabe čistilnih naprav za odpadne pline.
(2) Ministrstvo lahko v okoljevarstvenem dovoljenju za obratovanje naprave dovoli tudi opustitev trajnih meritev emisij hlapnih organskih spojin, če je z drugim trajnim merjenjem parametrov delovanja same naprave ali naprave za čiščenje odpadnih plinov zagotovljen enakovreden nadzor nad parametri emisij.
21. člen
(poročanje o bilanci uporabljenih organskih topil)
(1) Upravljavec mora do 31. marca tekočega leta predložiti ministrstvu v pisni in elektronski obliki bilanco uporabljenih organskih topil za preteklo koledarsko leto in podatke iz opravljenih meritev na obrazcu, ki ga ministrstvo objavi na svoji spletni strani.
(2) Bilanca uporabljenih organskih topil se pripravi v skladu s prilogo 3, ki je sestavni del te uredbe, in zajema izračun:
– porabe topil,
– količine nezajetih emisij hlapnih organskih spojin, izražene v t/leto in v odstotkih porabljene količine organskih topil, in
– količine celotnih emisij hlapnih organskih spojin, izražene v t/leto in odstotkih porabljene količine organskih topil ali kot emisijski faktor.
(3) Če to zahteva načrt zmanjševanja emisij hlapnih organskih spojin, mora biti v bilanci uporabljenih organskih topil navedena tudi letna količina nanesene trdne snovi. Upravljavec mora hraniti listine, na podlagi katerih je izdelana bilanca uporabljenih organskih topil, najmanj 5 let in jih na njegovo zahtevo predložiti inšpektorju, pristojnemu za okolje.
(4) Podatki iz opravljenih meritev zajemajo:
– izmerjeno koncentracijo hlapnih organskih spojin v odpadnih plinih kot maso skupnega organskega ogljika na m3;
– koncentracijo in količino zdravju škodljivih, rakotvornih, mutagenih in za reprodukcijo strupenih hlapnih organskih spojin, ki imajo oznako R 40, R45, R 46, R 49, R 60 ali R 61, če se take spojine uporabljajo v napravi.
VI. UGOTAVLJANJE ČEZMERNIH OBREMENITEV
22. člen
(čezmerno obremenjevanje okolja)
(1) Naprava povzroča čezmerno obremenitev okolja z emisijo hlapnih organskih spojin, če:
1. pri trajnih meritvah:
– ena od dnevnih povprečnih vrednosti koncentracij hlapnih organskih spojin v odpadnih plinih presega mejne vrednosti in
– ena od urnih povprečnih vrednosti koncentracij hlapnih organskih spojin v odpadnih plinih presega mejne vrednosti za več kot 50%;
2. pri občasnih meritvah:
– povprečje treh urnih povprečnih vrednosti koncentracij hlapnih organskih spojin v odpadnih plinih presega mejne vrednosti in
– ena od treh urnih povprečnih vrednosti koncentracij hlapnih organskih spojin v odpadnih plinih presega mejne vrednosti za več kot 50%;
3. je iz bilance uporabljenih organskih topil razvidno, da količina nezajetih in količina celotnih emisij hlapnih organskih spojin presegata mejne vrednosti, ki so za količino nezajetih in celotnih emisij hlapnih organskih spojin za posamezno napravo določene v II. delu priloge 2a te uredbe.
(2) Če se čezmerna obremenitev okolja ugotavlja za naprave za ličenje vozil iz točke 5.1 iz II. delu priloge 2a te uredbe, se namesto urnih povprečnih vrednosti iz 1. in 2. točke prejšnjega odstavka uporablja 15-minutna povprečna vrednost koncentracij hlapnih organskih spojin.
23. člen
(upoštevanje načrta zmanjševanja emisij hlapnih
organskih spojin)
Ne glede na določbe prejšnjega člena naprava ne povzroča čezmernih emisij hlapnih organskih spojin, če:
– je ministrstvo upravljavcu zanjo odobrilo načrt zmanjševanja emisij hlapnih organskih spojin in
– iz bilance uporabljenih organskih topil izhaja, da letne emisije hlapnih organskih spojin ne presegajo vrednosti, ki so določene v potrjenem načrtu zmanjševanja emisij hlapnih organskih spojin za vsako leto posebej med izvajanjem načrta.
VII. OKOLJEVARSTVENO DOVOLJENJE
24. člen
(okoljevarstveno dovoljenje)
(1) Za obratovanje naprav iz prvega odstavka 2. člena te uredbe mora upravljavec pridobiti okoljevarstveno dovoljenje.
(2) Ministrstvo izda okoljevarstveno dovoljenje za obratovanje ene ali več naprav iz prejšnjega odstavka skupaj, če jih ima upravljavec v posesti na istem funkcionalno zaokroženem območju.
(3) Ministrstvo izda okoljevarstveno dovoljenje za obratovanje naprav iz prvega in drugega odstavka tega člena, če je iz vloge za pridobitev okoljevarstvenega dovoljenja ali rezultatov meritev obratovalnega monitoringa in bilanco uporabljenih organskih topil, če gre za podaljšanje okoljevarstvenega dovoljenja, razvidno, da naprave izpolnjujejo vse zahteve glede emisij hlapnih organskih snovi iz te uredbe.
(4) Če zmogljivost naprav iz prvega in drugega odstavka tega člena, ki jih ima posamezen upravljavec v posesti, presega porabo hlapnih organskih spojin 150 kg na uro ali 200 ton na leto, mora upravljavec za obratovanje naprave namesto okoljevarstvenega dovoljenja iz prvega odstavka tega člena pridobiti okoljevarstveno dovoljenje v skladu s predpisom, ki ureja vrste dejavnosti in naprav, ki lahko povzročajo onesnaževanje okolja večjega obsega.
25. člen
(pogoji za izdajo in vsebina okoljevarstvenega dovoljenja)
(1) Okoljevarstveno dovoljenje se izda za obratovanje naprav iz prejšnjega člena pod naslednjimi pogoji:
– naprava mora zagotavljati obratovanje v skladu z zahtevami iz te uredbe in zahtevami iz predpisa, ki ureja emisije snovi v zrak iz nepremičnih virov onesnaževanja, v kolikor se za napravo uporabljajo tudi določbe predpisa, ki ureja emisije snovi v zrak iz nepremičnih virov onesnaževanja;
– upravljavec naprave mora izvajati ukrepe za zmanjševanje emisije hlapnih organskih spojin;
– upravljavec naprave mora zagotavljati izvajanje obratovalnega monitoringa v skladu s predpisom, ki ureja prve meritve in obratovalni monitoring emisije snovi v zrak iz nepremičnih virov onesnaževanja, in v skladu s programom obratovalnega monitoringa, ki je podrobneje določen v okoljevarstvenem dovoljenju.
(2) Pri ugotavljanju izpolnjevanja pogojev iz prejšnjega odstavka ministrstvo upošteva tudi navodila Evropske komisije o priporočenih tehnologijah uporabe hlapnih organskih spojin, ki povzročajo najmanj emisij, in o mogočem nadomeščanju hlapnih organskih spojin z drugimi snovmi.
(3) V okoljevarstvenem dovoljenju ministrstvo določi:
– vrsto naprave,
– kraj naprave, kraj izpustov odpadnih plinov in merilna mesta emisije hlapnih organskih spojin;
– zmogljivost naprave in vrsto tehnološkega procesa, zaradi katerega naprava onesnažuje okolje zaradi emisij hlapnih organskih spojin;
– čas veljavnosti dovoljenja in pogoje v zvezi z njegovim podaljšanjem;
– opis ukrepov za zmanjševanje emisij hlapnih organskih spojin in čiščenje odpadnih plinov in rok nadomestitve nevarnih snovi z manj škodljivimi snovmi iz drugega odstavka 9. člena te uredbe;
– mejne vrednosti iz 4., 6., 7. in 8. člena te uredbe, če ministrstvo za napravo ni odobrilo načrta zmanjševanja emisij hlapnih organskih spojin;
– največjo letno količino nezajetih in celotnih emisij hlapnih organskih spojin;
– največji masni pretok hlapnih organskih spojin pri posameznih izpustih;
– največji urni prostorninski pretok odpadnih plinov pri posameznih izpustih, če ni načrta zmanjševanja;
– največje letne količine odpadnih plinov iz posameznih izpustov, ki ob upoštevanju lokalnih okoliščin na kraju izpusta ne smejo povzročati preseganja standardov kakovosti zunanjega zraka;
– največje letne količine nevarnih snovi v odpadnih plinih, izračunane na podlagi največjih letnih količin nezajetih in celotnih emisij hlapnih organskih spojin in predpisanih mejnih vrednosti;
– posebne zahteve iz II. dela priloge 2a te uredbe;
– podatke iz načrta zmanjševanja emisij hlapnih organskih spojin, če je to naprava, za katero je ministrstvo odobrilo načrt zmanjševanja emisij hlapnih organskih spojin;
– program obratovalnega monitoringa, če se razlikuje od predpisanega;
– nevarne snovi, ki so vključene v seznam meritev obratovalnega monitoringa po posameznih izpustih;
– ukrepe nadomeščanja škodljivih snovi iz drugega odstavka tega člena in varnostne ukrepe iz tretjega odstavka 9. člena te uredbe;
– pogoje za obratovanje naprav za čiščenje odpadnih plinov in druge pogoje obratovanja naprave.
(4) Izdaja okoljevarstvenega dovoljenja se zavrne, če je iz dokumentacije, priložene vlogi za pridobitev okoljevarstvenega dovoljenja, razvidno, da upravljavec naprave ne izpolnjuje pogojev iz prvega odstavka tega člena.
(5) Upravljavec mora vlogo za pridobitev okoljevarstvenega dovoljenja za obratovanje naprave vložiti na ministrstvu na obrazcu, objavljenem na njegovi spletni strani.
(6) Vloga za pridobitev okoljevarstvenega dovoljenja za obratovanje naprave se lahko vloži pisno ali elektronsko v skladu s predpisi o elektronskem poslovanju.
VIII. PRIJAVA NAPRAVE
26. člen
(prijava obnove naprave ali spremembe tehnologije)
(1) Upravljavec naprave mora prijaviti ministrstvu pred začetkom del vsako obnovo naprave ali spremembo tehnologije.
(2) Prijava iz prejšnjega odstavka vsebuje:
a) splošne podatke o upravljavcu:
– ime in sedež gospodarske družbe, zavoda ali druge organizacije ali samostojnega podjetnika posameznika, ki upravlja ali bo upravljala napravo,
– naslov stavbe, v kateri je naprava,
– ime in naslov osebe, ki zastopa upravljavca;
b) podatke o uporabi hlapnih organskih spojin, in sicer o:
– dejavnosti upravljavca in vrsti naprave,
– hlapnih organskih spojinah, ki se ali se bodo uporabljale v napravi, in
– količini organskih topil, ki se letno porabi v napravi v obliki bilance uporabljenih organskih topil v skladu s prilogo 3 te uredbe.
27. člen
(prijava sprememb in prenehanja obratovanja naprave)
(1) Upravljavec mora ministrstvu prijaviti:
– namero večje spremembe uporabe organskih topil zaradi spremembe zmogljivosti naprave, in
– namero spremembe značilnosti in nevarnih lastnosti uporabljenih hlapnih organskih spojin ali spremembe postopka čiščenja odpadnih plinov ali zajemanja emisij.
(2) Prijava iz prejšnjega odstavka vsebuje:
a) splošne podatke o upravljavcu:
– ime in sedež gospodarske družbe, zavoda ali druge organizacije ali samostojnega podjetnika posameznika, ki upravlja napravo,
– naslov stavbe, v kateri je naprava,
– ime in naslov osebe, ki zastopa upravljavca;
b) podatke o spremembi uporabe ali značilnostih organskih topil, in sicer o:
– dejavnosti upravljavca in vrsti naprave,
– hlapnih organskih topil, katerih količina uporabe ali značilnosti se spreminja,
– količini organskih topil, ki se je letno porabila v napravi pred spremembo, in količini, ki se bo letno uporabila po spremembi, v obliki bilance uporabljenih organskih topil v skladu s prilogo 3 te uredbe.
28. člen
(evidenca)
(1) Ministrstvo vodi evidenco oseb, ki imajo okoljevarstveno dovoljenje za obratovanje naprav, v katerih se uporabljajo organska topila.
(2) Evidenca iz prejšnjega odstavka vsebuje podatke o:
– firmi oziroma imenu in sedežu upravljavca naprave ter vrsti naprave;
– gradnji naprave, začetku njenega obratovanja in njenih rekonstrukcijah oziroma obnovah;
– letni količini in vrsti uporabljenih pripravkov, ki vsebujejo organska topila;
– letni emisiji hlapnih organskih spojin in druge podatke iz obratovalnega monitoringa in načrta zmanjševanja emisij hlapnih organskih spojin.
IX. POROČANJE EVROPSKI KOMISIJI
29. člen
(obveščanje Evropske komisije)
(1) Ministrstvo mora najpozneje devet mesecev po koncu vsakega triletnega obdobja Evropski komisiji poslati poročilo o izvajanju Direktive Sveta 1999/13/ES. Poročilo se pošlje v obliki izpolnjenega vprašalnika, ki ga Evropska komisija pošlje ministrstvu šest mesecev pred začetkom vsakega triletnega obdobja.
(2) Ministrstvo mora zagotoviti, da je poročilo iz prejšnjega odstavka dostopno tudi javnosti.
(3) Prvo poročevalsko obdobje je za Republiko Slovenijo triletno obdobje od 2004 do 2006.
(4) V poročilu iz prvega odstavka tega člena morajo biti poslani predvsem podatki, iz katerih je razvidno, da so upoštevane zahteve v zvezi z mejnimi vrednostmi iz te uredbe in predpisa, ki ureja mejne vrednosti emisije halogeniranih hlapnih organskih spojin v zrak iz naprav, ki uporabljajo organska topila.
X. NADZORSTVO
30. člen
(nadzor)
Nadzor nad izvajanjem te uredbe opravljajo inšpektorji, pristojni za varstvo okolja.
XI. KAZENSKE DOLOČBE
31. člen
(globe za prekrške)
(1) Z globo od 1.000.000 tolarjev do 10.000.000 tolarjev se kaznuje pravna oseba, ki kot upravljavec stori prekršek, ko ravna v nasprotju z določbami:
– petega odstavka 5. člena,
– drugega, tretjega in četrtega odstavka 9. člena,
– prvega odstavka 19. člena,
– prvega in tretjega odstavka 21. člena,
– prvega in četrtega odstavka 24. člena,
– prvega, drugega in petega odstavka 26. člena,
– 27. člena,
– 33. člena,
– prvega odstavka 34. člena ali
– 37. člena te uredbe.
(2) Z globo od 300.000 tolarjev do 3.000.000 tolarjev se kaznuje tudi samostojni podjetnik posameznik, ki kot upravljavec stori prekršek iz prejšnjega odstavka.
(3) Z globo od 30.000 tolarjev do 150.000 tolarjev se za prekršek iz prvega odstavka tega člena kaznuje tudi odgovorna oseba pravne osebe ali odgovorna oseba samostojnega podjetnika posameznika kot upravljavca.
XII. PREHODNE IN KONČNE DOLOČBE
32. člen
(vodenje evidenc)
(1) Podatki iz prijav gradnje, rekonstrukcije, začetka obratovanja in obnove naprav ter podatki iz prijav sprememb pri obratovanju naprav, ki so jih upravljavci poslali ministrstvu v skladu z določbami Uredbe o emisiji hlapnih organskih snovi iz naprav, ki uporabljajo organska topila (Uradni list RS, št. 46/02 in 41/04 – ZVO-1; v nadaljnjem besedilu: Uredba) pred uveljavitvijo te uredbe, se vpišejo v evidenco iz 28. člena te uredbe.
(2) V evidenco iz prejšnjega odstavka se vpišejo tudi podatki iz prijav, ki so jih upravljavci obstoječih naprav poslali ministrstvu pred uveljavitvijo te uredbe v skladu z določbami Uredbe, ki se nanašajo na prijavo obstoječih naprav.
33. člen
(nadaljevanje začetih postopkov za naprave, ki niso obstoječe naprave)
(1) Upravljavec naprave, ki ni obstoječa naprava in je začela obratovati pred uveljavitvijo te uredbe na podlagi uporabnega dovoljenja, izdanega v skladu s predpisi, ki urejajo graditev objektov, mora za njeno obratovanje pridobiti okoljevarstveno dovoljenje najpozneje v dvanajstih mesecih po uveljavitvi te uredbe.
(2) Če je bilo za napravo, ki ni obstoječa naprava, pridobljeno gradbeno dovoljenje pred uveljavitvijo te uredbe, zanjo pa uporabno dovoljenje v skladu s predpisi, ki urejajo graditev objektov, še ni bilo izdano, mora upravljavec za njeno obratovanje pridobiti okoljevarstveno dovoljenje, preden jo začne uporabljati.
(3) Če za napravo, ki ni obstoječa naprava, poteka postopek za izdajo gradbenega dovoljenja v skladu s predpisi, ki urejajo graditev objektov, mora upravljavec po pravnomočnosti gradbenega dovoljenja in pred začetkom obratovanja naprave pridobiti okoljevarstveno dovoljenje za obratovanje naprave, okoljevarstveno dovoljenje pa se izda, če so vlogi za izdajo okoljevarstvenega dovoljenja priloženi rezultati prvih meritev emisij hlapnih organskih spojin v zrak, izvedenih med poskusnim obratovanjem, in so za napravo izpolnjeni vsi pogoji iz te uredbe za izdajo okoljevarstvenega dovoljenja za njeno obratovanje.
34. člen
(prilagoditev obstoječih naprav)
(1) Upravljavci obstoječih naprav morajo prilagoditi emisije hlapnih organskih spojin zahtevam iz te uredbe in pridobiti okoljevarstveno dovoljenje za obratovanje naprave najpozneje do 31. oktobra 2007.
(2) Določba prejšnjega odstavka, ki določa rok za prilagoditev obstoječih naprav z zahtevami iz te uredbe, se ne uporablja za obstoječo napravo, če:
– gre za rekonstrukcijo naprave, za katere gradnjo in rekonstrukcijo je predpisan postopek presoje vplivov na okolje,
– rekonstrukcija povzroči večjo spremembo uporabe organskih topil ali
– gre za rekonstrukcijo industrijskega obrata, v katerem je naprava, za katerega gradnjo in rekonstrukcijo je predpisan postopek presoje vplivov na okolje.
(3) Ne glede na določbo prejšnjega odstavka se pri prvi rekonstrukciji obstoječe naprave:
– zahteva prilagoditev zahtevam te iz uredbe samo za rekonstruiran del naprave ali
– zahteva prilagoditev zahtevam iz te uredbe do roka iz prvega odstavka tega člena, če celotna emisija hlapnih organskih spojin iz rekonstruirane obstoječe naprave ne presega celotne emisije hlapnih organskih spojin, ki bi nastajale, če bi za rekonstruirani del obstoječe naprave veljale zahteve iz te uredbe.
35. člen
(mejne vrednosti za čiščenje odpadnih plinov obstoječih naprav)
Ne glede na določbe te uredbe o mejnih vrednostih za koncentracijo hlapnih organskih spojin v zajetih očiščenih odpadnih plinih se do 31. decembra 2013 za obstoječo napravo, ki je opremljena z napravo za čiščenje odpadnih plinov, uporabljajo naslednje mejne vrednosti:
– 50 mg C/Nm3 pri sežiganju odpadnih plinov,
– 150 mg C/Nm3 pri drugih načinih čiščenja odpadnih plinov.
36. člen
(nadaljevanje začetih postopkov za obstoječe naprave)
(1) Začeti postopki za izdajo odločbe o potrditvi načrta zmanjševanja emisij hlapnih organskih spojin, ki do uveljavitve te uredbe niso pravnomočno končani, se končajo po določbah Uredbe.
(2) Upravljavec rekonstruirane obstoječe naprave, ki je začela obratovati pred uveljavitvijo te uredbe na podlagi pravnomočnega uporabnega dovoljenja, izdanega v skladu s predpisi, ki urejajo graditev objektov, mora za njeno obratovanje pridobiti okoljevarstveno dovoljenje najpozneje v dvanajstih mesecih po uveljavitvi te uredbe.
(3) Če je bilo za obstoječo napravo pridobljeno gradbeno dovoljenje za rekonstrukcijo pred uveljavitvijo te uredbe, zanjo pa uporabno dovoljenje v skladu s predpisi, ki urejajo graditev objektov, še ni bilo izdano, mora upravljavec za njeno obratovanje pridobiti okoljevarstveno dovoljenje, preden jo začne uporabljati.
(4) Če za obstoječo napravo poteka postopek za izdajo gradbenega dovoljenja v skladu s predpisi, ki urejajo graditev objektov, zaradi njene rekonstrukcije, mora upravljavec po pravnomočnosti gradbenega dovoljenja za rekonstrukcijo obstoječe naprave in pred začetkom njenega obratovanja, pridobiti okoljevarstveno dovoljenje za obratovanje rekonstruirane obstoječe naprave, ki se izda, če so vlogi priloženi rezultati prvih meritev emisij hlapnih organskih spojin v zrak, opravljenih med poskusnim obratovanjem, in so izpolnjeni vsi pogoji iz te uredbe za izdajo okoljevarstvenega dovoljenja za njeno obratovanje.
37. člen
(uporaba predpisa, ki ureja emisije iz lakirnic)
Za naprave iz 33. člena te uredbe in za obstoječe naprave se do izdaje okoljevarstvenega dovoljenja za njihovo obratovanje, vendar najdlje do 31. oktobra 2007, uporabljajo določbe Uredbe o emisiji snovi v zrak iz lakirnic (Uradni list RS, št. 73/94), ki se nanašajo na naprave iz prvega odstavka 2. člena te uredbe, razen določb v zvezi z emisijami skupnega prahu.
38. člen
(prenehanje veljavnosti)
Z dnem uveljavitve te uredbe preneha veljati Uredba o emisiji hlapnih organskih snovi iz naprav, ki uporabljajo organska topila (Uradni list RS, št. 46/02 in 41/04 – ZVO-1).
39. člen
(začetek veljavnosti)
Ta uredba začne veljati petnajsti dan po objavi v Uradnem listu Republike Slovenije.
Št. 00719-108/2005/7
Ljubljana, dne 1. decembra 2005
EVA 2005-2511-0032
Vlada Republike Slovenije
Janez Janša l.r.
Predsednik

AAA Zlata odličnost

Nastavitve piškotkov

Vaše trenutno stanje

Prikaži podrobnosti